http://www.nyq.cn
 当前位置:首页-> 备课参考 -> 初三数学 -> 初三上学期(代数) -> 第十二章 一元二次方程

第二节 一元二次方程的解法

作者:未知来源:中央电教馆时间:2006/4/8 18:03:14阅读:nyq
字号:|


扩展资料

配方法在解题中的应用
河北省正定中学 赵建勋

  配方是数学中的一个重要方法,在解题中有广泛的应用.本文通过例题谈谈它的一些应用.

  一、应用于因式分解

  例1 分解因式x44

  解 配方,得

   原式=x44x24-4x2=(x222-2x2

  =x22x2)(x2-2x2).

  例2 分解因式a2-4ab3b2-2bc-c2

  解 原式=a2-4ab4b2-b2+2bcc2

   =(a-2b2-bc2

  =(a-bc)(a-3b-c).

  二、应用于解方程

  例3 解方程3x24y2-12x-8y16=0

  解 分别对xy配方,得

  3x2-4x4)+4y2-2y1=0

  3x-224y-120

  由非负数的性质,得

    


  例4 解方程(x22)(y24)(z28=64xyzxyz均是正实数).

  解 原方程变形,得

  x2y2z2+4x2z2+2y2z2+8z2+8x2y2+32x2+16y2+64-64xyz=0

  各自配方,得

  (xyz-8224x-yz242y-xz28z-xy2=0

  由非负数的性质,得

  

  运用配方法可为应用非负数的性质创造条件,解题中应注意掌握.

  三、应用于求二次函数的最值

  例5 已知x是实数,求yx2-4x+5的最小值

  解 由配方,得

  yx2-4x4-45=x-221

  ∵ x是实数,∴(x-220,当x-2=0,即x=2时,y最小,y最小=1

  例6 已知二次函数y=x2-6xc的图象的顶点与坐标原点的距离等于5,求c的值.

  解 因为yx2-6xcx2-6x9-9c=x-32c-9,所以这个二次函数的顶点坐标为(3c- 9),它与坐标原点的距离是

  

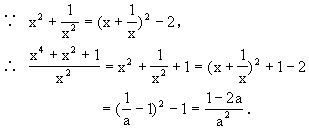
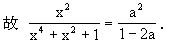
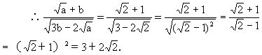
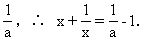
  四、应用于求代数式的值

    

    

    

    

  

  本题联合应用了倒数法和配方法使问题得解.倒数法是一种解题技巧,解题时注意应用.

  

  解 由已知条件,分别对ab配方,得

   a2-4a4)+(b2-2b1)=0

   a-22+(b-120

   由非负数的性质,得a-20b-10

   a2b1

  

  五、判定几何图形的形状

  例9 已知 abc是△ABC的三边,且满足a2b2c2-ab-bc-ca0,判定△ABC是正三角形.

  证明 由已知等式两边乘以2,得

  2a22b22c2-2ab-2bc-2ca=0

  拆项、配方,得

  (a2-2abb2)+(b2-2bcc2)+(c2-2caa2)=0

   a-b2+(b-c2+c-a20

  由实数的性质,得

  a-b=0b-c=0c-a=0

   abbccaa=b=c

   故△ABC是等边三角形.

 

关于本站 | 免责声明 | 业务合作 | 广告联系 | 留言建议 | 联系方式 | 网站导航 | 管理登录
闽ICP备05030710号