http://www.nyq.cn
 当前位置:首页-> 备课参考 -> 初三数学 -> 初三上学期(代数) -> 第十二章 一元二次方程

第三节 一元二次方程的根的判别式

作者:未知来源:中央电教馆时间:2006/4/8 18:03:14阅读:nyq
字号:|


扩展资料

已知方程的根怎样求一元二次方程中待定的字母系数及其他?

  答:可利用根与系数的关系去求.

  [例1] 已知方程5x2+(k-1)x-6=0的一个根是2,求它的另一个根及k的值.

    

  

  

  

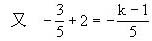
  k-1=-7

  k=-6

  

  解法二:∵2是方程5x2+(k-1)x-6=0的根.

  ∴ 5×22+2(k-1)-6=0

  k=-6

  又设方程的另一个根是x1,则
  
  

  [例2] 已知方程2x2-(m-1)x+m+1=0的两根满足关系式x1-x2=1,求参数m和两个根.

  解:∵x1-x2=1

  ∴ (x1-x2)2=1

  (x1+x2)2-4x1x2=1

  

  整理,得

  m2-10m-11=0

  (m-11)(m+1)=0

  ∴m1=11 m2=-1

  当m1=11时,原方程为2x2-10x+12=0,

  解得 x1=2 x2=3

  当m2=-1时,原方程为2x2+2x=0,

  解得 x1=0 x2=-1

  [例3] 已知方程x2+3x+m=0的两根为x1、x2,m为何值时,3x1-x2=4?

  解:∵3x1-x2=4

  ∴3(x1+x2)- 4x2=4

  ∵x1+x2=-3

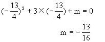
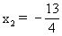
  ∴3×(-3)-4x2=4

  
  
  

返回页首  

关于本站 | 免责声明 | 业务合作 | 广告联系 | 留言建议 | 联系方式 | 网站导航 | 管理登录
闽ICP备05030710号