设为首页
加入收藏
典型例题
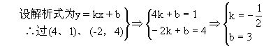
例1、 已知一次函数图象过点(4,1)和点(-2,4).求函数解析式并画出图象.根据图象回答:(1)当x=-1时y的值;(2)当y=2时x的值;(3)图象与x轴交点A的坐标,与y轴交点B的坐标;(4)当x为何制值时
;(5)当
时y的取值范围;(6)
时x的取值范围;(7)求
的面积;(8)方程
的解
分析:一次函数的图象是一条直线,由两点很容易就得到图象,用待定系数法可以求出解析式,利用图象或解析式可解答许多问题.
解:

列表:
|
x |
0 |
6 |
|
|
3 |
0 |
描点连线得图象
(1)当x=-1时,
(2)当y=2时,x=2;
(3)A(6,0)、B(0,3);
(4)x<6时,y>0;x=6时,y=0;x>6时,y<0
(5)当
时,
(6)当-1≤y<4时,-2<x≤8;
(7)
(8)方程
的解是x=6
说明:从图象上对应点的坐标来求(1)已知x值可求y的值;(2)已知y的值可求x的值;(3)已知x的变化范围可求y的变化范围,反之也可求.
函数方程
当y为零时x的值就是方程方程
的解,函数、方程、不等式三者是紧密联系的。
例2、 正比例函数或一次函数(y=kx+b)的图象如图所示,请确定k、b的情况:
分析:看图象自左向右是上升还是下降来决定k的正负由图象与y轴的交点在x轴的上方还是下方来决定b的正负.正比例函数过原点b=0.
解:图(1)中k>0,b=0;图(2)中k<0,b=0;图(3)中k<0,b>0;图(4)中k<0,b<0.
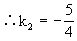
例3、 已知一次函数的图象交正比例函数图象于M点,交x轴于点N(-6,0),又知点M位于第二象限,其横坐标为-4,若△MON面积为15,求正比例函数和一次函数的解析式.
分析:要确定一次函数的解析式,必须知道图象的两个已知点的坐标,而要确定正比例函数又必须知道图象上一个点的坐标,但题设中都缺少条件,它们交点坐标中不知道纵坐标的值.已知条件中给出了△MON的面积,而△MON的面积,因底边NO可以求到,因此实际上需要把△MON的面积转化为M点的纵坐标
解:根据题意画示意图,过点M作MC⊥ON于C
∵点N的坐标为(-6,0)
∴|ON|=6
∴MC=5
∵点M在第二象限
∴点M的纵坐标y=5
∴点M的坐标为(-4,5)
∵一次函数解析式为y=k1x+b
正比例函数解析式为y=k2x
直线y=k1x+b经过(-6,0)
∵正比例函数y=k2x图象经过(-4,5)点,
例4、 在直角坐标系中,一次函数在y轴上的交点坐标是B(0,5),与x轴交点A的横坐标是图象与y轴交点到原点距离的2倍,点C的坐标是(6,0),点P的坐标是(0,y),若四边形ABPC的面积为S,求S关于y的函数解析式,并求出自变量的取值范围;若∠PCO=30°时,求四边形ABPC的面积.
分析:根据题意画出示意图
因为要求面积S与y的函数关系式,所以要考虑ABPC四边形的构成,确定四边形ABPC,其中三点A,B,C的坐标已给出,只要考虑P点的位置即可.点P的位置有两种可能,其一是P点在O,B之外,其二在O,B之间,如果P点在OB之外,则不满足四边形ABPC的条件,所以点P只能在O,B之间,所以S=S△AOB-S△COP,故只要求出两个三角形面积即可.
解:∵一次函数在y轴上交点B的坐标是(0,5)
根据题意:得A(10,0)
∴OB=5,OA=10
∵点C坐标为(6,0),点P坐标是(0,y)
∴OC=6,OP=y
∵S=S△AOB-S△COP
∴S=25-3y
即S=-3y+25
∵点P在O与B之间
∴自变量y的取值范围是0<y<5
∴当∠PCO=30°时,在Rt△COP中
说明:解这类题时先画出示意图,并看图进行分析,示意图的关键是位置关系要正确,要学会数形结合.