http://www.nyq.cn
 当前位置:首页-> 备课参考 -> 高二化学 -> 高二上学期 -> 第一章 氮族元素

第三节 硝 酸

作者:未知来源:中央电教馆时间:2006/4/26 22:23:06阅读:nyq
字号:|

硝酸

一、教学目标
  知识目标  使学生掌握硝酸的化学性质并了解其用途。
  能力目标  提高理论联系实际、学以致用的能力及类比学习的方法。
  情感目标  激发学生学习兴趣,对学生进行辩证唯物主义和爱国主义教育。

二、教学重点  硝酸的不稳定性和氧化性。

三、教学难点  硝酸的氧化性。

四、实验准备  浓硝酸、稀硫酸、铜片、锌片、铁片、铝片、木炭、烧杯、试管、滴管、石棉网、铁架台(带铁圈)、酒精灯、无色透明塑料袋。

五、课时安排  1课时

六、教学方法  启发—掌握法

七、教学过程

教师活动

学生活动

【引言】三大强酸中的盐酸、硫酸我们已学过,今天来学习硝酸,硝酸除了具有酸性外,还有些我们所不了解的性质,这些我们所不熟知的性质就是这节课学习的重点。

【板书】第三节  硝酸

【展示】两瓶不同浓度的硝酸(一瓶浓硝酸,

一瓶稀硝酸)。

【板书】一、硝酸的物理性质

【指导阅读】要知道“发烟”硝酸及常用浓硝酸的质量分数,并比较三大强酸的物理特性。

【投影】右边表格

【实验】一位同学上台,通过实验(闻气味,打开瓶塞观雾,与水混合放热)总结、归纳。

【分析、总结】

 

硝酸

硫酸

盐酸

挥发性

(易)

(难)

(易)

沸点

(低)

(高)

(低)

【过渡】硝酸是一种强酸,在水中完全电离出 。因为有 ,所以硝酸具有酸的通性。

【板书】二、硝酸的化学性质

    1.酸性

【书写】

【设问】从 来看,推测硝酸具有哪些性

质?

【质疑】浓硫酸能氧化CuC等,硝酸是否也可以?

【演示实验17】硝酸的氧化性。观察实验现象。推测产物,试写出反应的化学方程式,并标出电子转移方向和数目。

【讲述】Cu与浓、稀硝酸在常温下都可发生化学反应,说明硝酸具有强氧化性。

【分析、讨论、回答】

    中,氮元素呈现其最高价态+5价,在氧化还原反应中,硝酸具有氧化性。

【观察、回答】

    加浓硝酸的试管,反应剧烈,放出红棕色气体,溶液变为绿色。

    加稀硝酸的试管,反应较缓慢,放出无色气体,进入空气气体变为红棕色,溶液变为蓝色。

    Cu与稀硝酸反应生成了无色NONO遇空气后又生成了红棕色NO2

【板书】2.强氧化性

【质疑】由于硝酸的浓度不同,反应产物就不同,说明了什么?

【演示Zn Al Fe分别与浓硝酸反应】(增加)将Zn片插入一盛有少量浓硝酸的烧杯中,有红棕色气体放出,立即拿出。再将Al片、Fe片放入浓硝酸中。观察现象。

【思考、回答】

    物质的量变能引起物质的质变。

【观察、分析、回答】

    无明显变化。像浓硫酸能使AlFe钝化一样,在常温下浓硝酸也能使之钝化。

【讲解】大多数金属(除金、铂等少数金属外)都可被硝酸氧化,由于硝酸浓度不同,被还原为NO2NO

【指导阅读】浓硝酸和浓盐酸按体积比13混合后的混合物,氧化能力极强,可溶解金和铂。阅读课本(玻尔的诺贝尔金质奖章)。

【阅读、领悟】

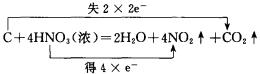
【演示木炭与浓硝酸反应】(增加)

    在烧杯里盛10mL浓硝酸,用酒精灯加热。把一块烧红热的木炭浸入热的浓硝酸中。

【提示】观察加热浓硝酸和加入红热木炭后的现象?写出化学方程式。

【提问】这个实验说明什么?

【板书】3.不稳定性

【展示】一瓶久置而发黄的浓硝酸,为何出现这种现象?

【板书】3.不稳定性

【观察、回答】

    加热浓硝酸有红棕色气体产生。

    加入红热木炭后,木炭继续燃烧,同时产生大量红棕色气体。

【分析、书写】

【讨论、总结】

    ①进一步证明硝酸有强氧化性。

    ②硝酸不稳定,分解。

【分析、讨论、回答】

    可能有NO2产生,并溶于硝酸中。

【启发】有 NO2生成,那么硝酸的分解产物还有什么物质?

【分析、讨论、回答】

【追问】硝酸应如何保存?

【强调】硝酸应放在棕色瓶中保存。

    在硝酸中,氢元素化合价为+1价,氮元素为+5价,均为其最高价态,氧元素为-2价,又因为生成NO2,氮元素化合价降低了,只有氧元素化合价升高,因而有O2产生。

【回答】

    隔热、隔光处。

【指导阅读】硝酸的用途

【板书】三、硝酸的用途

【阅读、归纳】

1)化工原料

2)化学试剂

【引导学生总结】

【小结】

硝酸的性质,强氧化性和不稳定性。

【课堂练习—投影】

    1.如何洗净内壁有铜附着的试管?

    2.如何贮存和运输大量的浓硝酸?

    3.用以下三种途径来制取相等质量的硝酸铜:(1)铜跟浓硝酸反应;(2)铜跟稀硝酸反应;(3)铜先跟氧气反应生成氧化铜,氧化铜再跟硝酸反应。

    以下叙述正确的是(   

    A.三种途径所消耗铜的物质的量相等

    B.三种途径所消耗硝酸的物质的量相等

    C.所消耗铜的物质的量:途径(3)>途径(2)>途径(1

    D.所消耗硝酸的物质的量:途径(1)>途径(2)>途径(3

4.在 反应中,被氧化的氮原子与被还原的氮原子的原子个数比为(   

    A35       B55       C53        D58

八、板书设计

第三节 硝酸

一、硝酸的物理性质
  
通常状况,无色有刺激性气味的气体,与水任意比互溶,易挥发。

二、硝酸的化学性质
1.酸性
2.强氧化性

3.不稳定性

三、硝酸的用途

化工原料  化学试剂

天津市河西区教育中心  魏欣

关于本站 | 免责声明 | 业务合作 | 广告联系 | 留言建议 | 联系方式 | 网站导航 | 管理登录
闽ICP备05030710号