设为首页
加入收藏
扩展资料
怎样应用圆柱和圆锥的侧面展开图解题?
答:圆柱和圆锥都是旋转体,它们的侧面都是曲面,又都是可展的曲面,即它们都可以展开铺在平面上.
如图1所示,圆柱的侧面展开图是矩形,这个矩形的一边长等于圆柱的高,即圆柱的母线长,另一边长是圆柱底面圆的周长;圆锥的侧面展开图是一个扇形,这个扇形的半径是圆锥的母线,弧长是圆锥底面圆的周长.

我们知道,圆柱、圆锥侧面展开图的面积就是它们的侧面积.如果用l表示圆柱或圆锥的母线长,用r表示它们底面的半径,由上面的分析可知:
圆柱侧面积=2πrl,
圆锥侧面积=πrl.
这里应用了矩形与扇形的面积公式.
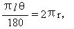
圆锥侧面展开图扇形的圆心角的θ°,由于扇形的弧长等于圆锥底面的周长,即有
所以
利用圆柱和圆锥侧面展开图,可以求得它们的侧面积,这是表面积的一部分.显然,圆柱的表面积还应加上两个底面面积,圆锥的表面积则需加上一个底面面积.

圆柱、圆锥的侧面展开图不仅用于表面积的计算.工厂的工人师傅要制造各种圆柱、圆锥的工件时,常常要根据工件的尺寸,通过计算,在材料板上画出下料图,然后再裁下制作.所以,展开图的知识在生产实际中也是很有用的.
[例1] 将半径为30厘米的薄铁圆板沿三条半径截成全等的三个扇形,做成三个圆锥筒(无底).求圆锥筒的高(不计接头).
解:依题意每个扇形的圆心角为120°,圆锥筒母线长l=30厘米.
设圆锥底面半径为rcm,则有
![]()
所以
答:圆锥筒的高约为28.3厘米.
圆柱和圆锥都是空间图形.利用它们的侧面展开图,我们可以把这种空间图形的某些问题转化为平面图形得到解决.我们来看下面一个有趣的问题.
[例2] 已知圆锥底面直径AB=20,母线SA=30.C为母线SB的中点.今有一小虫沿圆锥侧面从A点爬到C点觅食.问它爬过的最短距离应是多少?
分析:小虫沿圆锥侧面从A点爬到C点,其轨迹是空间的一条曲线,且在一曲面上.问题如何解决呢?依题意我们画出圆锥的侧面展开图,如图3所示.不难看出,母线SB把扇形分成相等的两部分.从A点到C点的线段AC的长度就是所求的最短距离.
把空间问题化归到平面上,巧妙在得到解决。请同学们自己作出解答,看是否能得到正确答案:
。