设为首页
加入收藏
扩展资料
1.如何从反面提出问题推导一元二次方程根与系数的关系?
答:可以这样进行.
已知方程ax2+bx+c=0,变形为
依求根公式得它的两根为
可见,一元二次方程的根是由它的系数确定的.
反过来,如果已知一元二次方程的两个根x1、x2能否确定它的系数呢?回答是肯定的.
∵x1、x2是方程的两个根
∴(x-x1)(x-x2)=0
∴x2-(x1+x2)x+x1x2=0
比较两式可得:
解答提示:这是用逆向思维的方式从反面提问题,是符合人们的思维规律的.当一个定理被得到证明后,人们立即会想到它的逆命题是否是真命题?一元二次方程根的判别式,根与系数的关系都是可逆的.
二次项系数是1的一元二次方程的一般式为
x2+px+q=0
它的两根为x1、x2,
那么
x1+x2=-p x1x2=q
这是经常被用到的.
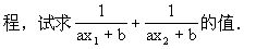
2. 不解方程,能直接求出有关根的代数式的值吗?
在教材中介绍了利用一元二次方程根与系数的关系(韦达定理),可以不解方程,
![]()
现有下述这道习题:
已知:一元二次方程ax2+bx+c=0(a≠0)的两个根分别为x1、x2,不解方
![]()
3.求作一元二次方程的又一方法
山东省博兴县实验中学(256500) 毛会基
四年制初中代数第三册第36页B组
,是求作一个一元二次方程,使它的两根与已知方程两根之间有特定的关系的题目。
原题 已知方程
,利用根与系数的关系求一个一元二次方程使它的根是原方程各根的(1)平方;(2)相反数;(3)3倍;(4)倒数。
一般常用方法是利用根与系数之间的关系,确定新方程的一次项系数、常数项来得到二次项系数为1的一元二次方程的。
有没有其他的方法呢?既然两个方程的两根之间有特定的关系,我们可以直接利用根的定义来求作新的方程,看下面的解题过程:
①解 设所求的方程的根为y,则有
即
,这样代入原方程,得

。两边平方得
![]()
得
,即是所求的方程。
②解 设所求方程的根为y.
则
即
,
代入原方程得
![]()
求得新方程
。
③、④解题过程略。
类似地,我们可以求各根是原方程各根的平方、倍数(几分之几)、比各根大几(小几)等的一元二次方程,只要一个方程与原方程各根之间有直接的关系,那么我们就可以用这种方法得到。
本文介绍的方法,是直接利用根的定义得到新方程。思路清晰,步骤简捷,过程简便,解法巧妙。体现了解数学题过程中的灵活性和趣味性。