http://www.nyq.cn
 当前位置:首页-> 备课参考 -> 初一数学 -> 初一下学期(代数) -> 第六章 一元一次不等式和一元一次不等

第三节 一元一次不等式和它的解法

作者:未知来源:中央电教馆时间:2006/4/8 18:03:13阅读:nyq
字号:|


扩展资料

  怎样才能正确而迅速地解一元一次不等式?现结合实例介绍一些技巧,供初一同学参考.

  1.巧用乘法

  1 解不等式0.25x>10.5.

  分析 因为0.25×4=1,所以两边同乘以4要比两边同除以0.25来得简便.

   两边同乘以4,得x>42.

  2.巧用对消法

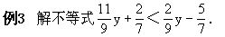
  2 解不等式
  
  

   原不等式变为

  
  

  3.巧用分数加减法法则

  
  
  
    故 y<-1.

  4.逆用分数加减法法则

  

   原不等式化为

  
  
  

  5.巧用分数基本性质

   例5 解不等式

  
   约去公因数2后,两边的分母相同;②两个常数项移项合并得整数.

  
  

  6 解不等式

  

  分析 由分数基本性质,将分母化为整数和去分母一次到位可避免繁琐的运算.

   原不等式为

  
  整理,得8x-3-25x+4<12-10x,
  

   思考:例5可这样解吗?请不妨试一试.

  6.巧去括号

  去括号一般是内到外,即按小、中、大括号的顺序进行,但有时反其道而行之即由外到内去括号往往能另辟捷径.

  
  
  
  

  7.逆用乘法分配律

  8 解不等式

  278(x-3)+351(6-2x)-463(3-x)>0.

  分析 直接去括号较繁,注意到左边各项均含有因式x-3而逆用分配律可速解此题.

   原不等式化为

  (x-3)(278-351×2+463)>0,

   即 39(x-3)>0,故x>3.

  8.巧用整体合并

   例9 解不等式

  3{2x-1-[3(2x-1)+3]}>5.

   视2x-1为一整体,去大、中括号,得3(2x-1)-9(2x-1)-9>5,整体合并,得-6(2x-1)>14,

  

  9.巧拆项

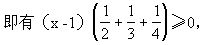
  10 解不等式

  

  分析 将-3拆为三个负1,再分别与另三项结合可巧解本题.

   原不等式变形为

  
  
  得x-1≥0,故x≥1.

  练习题

  解下列一元一次不等式

  
  

  ③3{3x+2-[2(3x+2)-1]}≥3x+1.

  答案

  

返回页首  

关于本站 | 免责声明 | 业务合作 | 广告联系 | 留言建议 | 联系方式 | 网站导航 | 管理登录
闽ICP备05030710号