http://www.nyq.cn
 当前位置:首页-> 备课参考 -> 初一数学 -> 初一下学期(代数) -> 第五章 二元一次方程组

第一节 二元一次方程组

作者:未知来源:中央电教馆时间:2006/4/8 18:03:13阅读:nyq
字号:|


扩展资料

学习二元一次方程组的解时,应注意什么?

  二元一次方程组的解有以下三种情况:

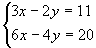
  1. 有一个解.例如方程组

  

  有一个解 x=5,y=2 这个方程组只有这一个解.我们三年制初级中学的教学课只研究方程组有一个解的情况.

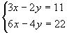
  2. 有无数个解.例如方程组

  

  有无数个解,这是因为方程组中的两个方程实际上是同一个方程(请想想为什么),两个方程只能算一个.

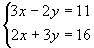
  3. 无解.例如方程组

  

  无解,这是因为将第一个方程的任何一个解代入第二个方程,左边应当是22,它不等于20,这两个方程是互相矛盾的.

返回页首  

关于本站 | 免责声明 | 业务合作 | 广告联系 | 留言建议 | 联系方式 | 网站导航 | 管理登录
闽ICP备05030710号