http://www.nyq.cn
 当前位置:首页-> 备课参考 -> 初一数学 -> 初一上学期 -> 第四章 一元一次方程

第四节 一元一次方程的应用

作者:未知来源:中央电教馆时间:2006/4/8 18:03:13阅读:nyq
字号:|


扩展资料

行程问题的解法

  在代数中,行程问题是指有关匀速运动的应用题.这类问题可分为:

  ①基本行程问题;

  ②相遇问题;

  ③追及问题;

  ④航行问题;

  ⑤环行问题等等。

  但无论怎样变化,都离不开匀速运动的基本关系式:路程=速度×时间,以及由此推导出来的: 。现将这几类应用题的解法,通过举例介绍如下:

  一、基本行程问题.基本行程问题的特点是:同一人(或物体)在去时与回时的运动过程中,改变了路程、速度或时间;也可以是两人(或两物体)在同一路程行进中,由于速度不同而导致到达的时间不同.解这类问题时,要抓住总路程或总时间不变,直接运用路程、速度与时间三者之间的关系式.

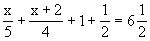
  1 某人从甲村去乙村,在乙村停留1小时后又绕道去丙村,再停留半小时返回甲村,去时的速度是5千米/时,回时的速度是4千米/时,来回包括停留时间共用去6小时30分钟,回来因绕道多走了2千米,求去时所走的路程.

  解:设去时的路程为x千米,则回时的路程是(x+2)千米.依题意,得方程:

   

   解之得 x=10(千米)

  答:去时所走的路程为10千米.

  二、相遇问题.相遇问题的特点是:两个运动着的人(或物体)从两地沿同一路线相向而行,最终相遇.解这类问题时,要抓住甲、乙同时出发至相遇时的基本等量关系:(1)甲行的路程+乙行的路程=两地间的路程,即:甲与乙的速度和×相遇时间=两地间的路程;(2)同时出发到相遇甲与乙所用的时间相等.

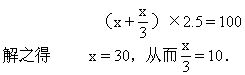
  例2 甲、乙两城相距100千米,摩托车和自行车同时从两城出发,相向而行,2.5小时两车相遇,自行车的速度是摩托车的 ,求摩托车和自行车的速度。

  解:设摩托车的速度是每小时x千米,则自行车的速度是每小时 千米。依题意,得方程:

   

  答 摩托车的速度是30千米/时,自行车的速度是10千米/时.

  三、追及问题.追及问题的特点是:两人(或两物体)同时沿同一路线,同一方向运动,慢者在前,快者在后,快者追赶慢者.解这类问题要抓住基本等量关系:(1)快者行的路程-慢者行的路程=两者间的距离,即:两者的速度差×追及时间=两者间的距离;(2)从开始追赶到追及时,快者与慢者所用的时间相等.

  例3 东西两村相距20千米,一人骑自行车从西村出发往东走,每小时走13千米,同时另一人步行从东村出发,沿同一条路也往东走,每小时走5千米,经过几小时后,骑自行车的人可以追上步行的人?

   设x小时后,骑自行车的人追上步行的人.依题意,得方程

   (13-5)x=20

   解之得 x=2.5(小时)

  答 经2.5小时,骑自行车的人可以追上步行的人.

  四、航行问题.航行问题是一种特殊的行程问题,它的特殊性在于要考虑水速对船速的影响,其基本等量关系是:(1)船顺流速度=船的速度+水流速度;(2)船逆流速度=船的速度-水流速度.

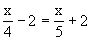
  4 一船在甲乙两地之间航行,顺流行驶要4小时,逆流行驶要5小时,已知水流的速度为每小时2千米,求这两地之间的距离.

  解 设这两地间的距离为x千米.则依题意,得方程:

   

   解之得 x=80(千米)

  答 这两地间的距离为80千米.

  五、环行问题.环行问题即封闭路线上的行程问题.如果同时从同一地点出发,到第一次相遇,有两种情况:同向环行类似追及问题,其基本等量关系是:快者走的路程-慢者走的路程=环形周长;反向环行类似相遇问题,其基本等量关系是:快者走的路程+慢者走的路程=环形周长.

  例5 一条环行跑道长400米,甲每分钟行550米,乙每分钟行250米.甲、乙两人同时同地同向出发,问多少分钟后他们再相遇?

  解:设x分钟后两人再相遇.依题意可得方程

   550x-250x=400

   

  答:1分20秒后,他们再相遇.

返回页首  

关于本站 | 免责声明 | 业务合作 | 广告联系 | 留言建议 | 联系方式 | 网站导航 | 管理登录
闽ICP备05030710号