http://www.nyq.cn
 当前位置:首页-> 备课参考 -> 初一数学 -> 初一上学期 -> 第二章 有理数的意义

第十一节 有理数的混合运算 

作者:未知来源:中央电教馆时间:2006/4/8 18:03:13阅读:nyq
字号:|


扩展资料

( ),[ ],{ }──小括号,中括号,大括号

  大家都知道,当一个算式里含有加、减、乘、除、乘方等几种运算时,通常是按先算乘方、再算乘除、最后算加减的顺序进行.

  但是在计算中,为了某种特殊的约定,需要改变常规的运算顺序时,就要把提前演算的部分,添上一个括号.

  请看下面的两个算式:

    a+b·c, (1)

    (a+b)·c. (2)

  在(1)式中,要先算乘法,再算加法.

  在(2)式中,要先算括号里的加法,再算乘法.

  其中(a+b)是约定要提前演算的部分,所以添加了一个括号,这是括号产生的历史背景.

  常见的括号,有下面三种形式:

  ( )叫做小括号,又称为圆括号.早在1544年就采用了.在小括号出现之前,历史上曾用括线“──”代替过它,例如计算:

  这里的括线和小括号“( )”有着同样的功能.

  [ ]叫做中括号,又称方括号.17世纪,英国数学家华里士在计算时最先采用了它.

  { }叫做大括号,又称花括号.它是1593年由数学家韦达首先创用的.

  这三种括号中,以小括号应用的范围最为广泛.例如,在表示一个负数的乘方时,要把负数用( )括起来,把乘方的次数写在小括号的右肩上.比如“-5的平方”这句话,要写成(-5)2,如果粗心大意写成-52,就是错误的了.

  也许有人问:当一个算式里有多种括号时,应怎样运算呢?

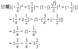
  这时要注意它们运算的顺序:先去小括号,再去中括号,最后脱掉大括号.例如:

  

摘自《数学符号史话》

返回页首  

关于本站 | 免责声明 | 业务合作 | 广告联系 | 留言建议 | 联系方式 | 网站导航 | 管理登录
闽ICP备05030710号