http://www.nyq.cn
 当前位置:首页-> 备课参考 -> 初一数学 -> 初一上学期 -> 第二章 有理数的意义

第七节 有理数的加减混合运算

作者:未知来源:中央电教馆时间:2006/4/8 18:03:13阅读:nyq
字号:|


扩展资料

有理数加减混合运算的方法

  有理数的加减混合运算中,可根据题目特点,简化过程,提高解题速度.

  1.正负数分别结合相加

  
  
  

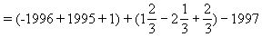
  2.相加得零的数结合相加

  
  
  
  

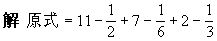
  3.非整数相加,相加得整数的数结合相加

  
  
  
        =-7+10=3.

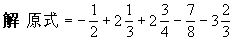
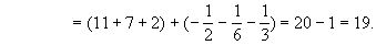
  4.分数相加,同分母或分母有倍分关系的分数结合相加

  

  

  

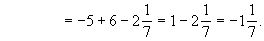
  5.带分数相加,将带分数拆开相加

  

  

  

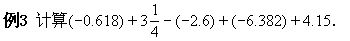
  6.分数与小数相加,灵活考虑将小数化成分数或将分数化成小数后再相加

  

  

  

返回页首  

关于本站 | 免责声明 | 业务合作 | 广告联系 | 留言建议 | 联系方式 | 网站导航 | 管理登录
闽ICP备05030710号