设为首页
加入收藏
扩展资料
电容器的串联和并联
一、串联把几个电容器一个接一个地联在一起.串联电容器的等效电容
、电压
、电量
与每个电容器的电容、电压、电量的关系为:
电容器串联后电容减小,每个电容器上的电压只是总电压的一部分.通常利用串联电容器来提高耐压.

二、并联把几个电容器的一个极板联在一起,另一个级板也联在一起.并联电容器的等效电容
、电压
、电量
与每个电容器的电容、电压、电量的关系为:
通常利用电容器并联来增大电容.
扩展资料
电容器种类以及应用
实用电容器的种类很多,可根据不同特点进行分类.
1、根据电容器极板形状分为:
平行板电容器、球形电容器、柱形电容器等.
2、根据电容器极板间电介质分为:
真空电容器、空气电容器、云母电容器、纸介电容器、陶瓷电容器、聚四氟乙烯电容器、电解电容器等.
3、根据电容器电容是否变化分为:
固定电容器、可变电容器、半可变电容器等.
电容器的两个重要指标是:电容值和工作电压(耐压).
电容器在电工、电子技术中应用很广.大型的电力电容器用来提高电力设备的效率.电子技术中常用电容器来产生电磁振荡、改变波形、滤波、耦合等.电容器充电后储藏有电能,放电时强大的电流和火花可用来熔悍金属等.
扩展资料
关于电容器电容的定义问题
一般普通物理书中把电容器的电容定义为:两个任意形状、互相靠近的导体,在周围没有其他导体或带电体时,它们就组成了一个电容器,每一个导体就是该电容器的一个极板。如果两极板上分别带有等量异号的电荷+Q与-Q,它们相应的电势分别为
与
,实验表明,Q与
成正比,比值
叫做电容器的电容。
不少学生提出问题:如果两个极板上不是带等量异号电荷,而是分别带有电荷
与
,此时电容器的电容能否仍用
定义?如果可以,那么式中的Q指的是什么电荷?对此问题的解答是,电容器的电容仍可用
定义,式中Q是指要使电容器两极板电势相等时,从一个极板向另一个极板转移的电量,
是电量Q转移之前两极板之间原有的电势差。
为了对上述结论作出证明,让我们先引进电容系数概念。
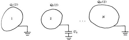
导体系的电容理论研究的是,在线性介质内导体系的电量与电势的关系。所谓线性介质是指电位移矢量D与场强E成线性关系,在这里表现为导体系的电量与电势成线性关系。设有N个导体组成的导体系,除大地外不受其他外部导体的影响,如N等于2时,导体系就是一个电容器。
如图所示,使导体1具有电势
,其余各导体电势均为零,在此情况下,导体1充电后电量为
(1),其余导体上的感应电荷电量分别为
(1),…,
(1),这N个电量都是由
所引起,故它们与
成正比,即:
再使导体2具有电势
,其余各导体电势均为零,如图所示。由于导体2具有电势
,使这N个导体分别具有电量
(2),
(2),…,
(2),它们之间的关系为:
依此类推,直到使第N个导体具有电势
,其余导体电势为零,N个导体上电量分别是
,并得出下列关系:
当使N个导体同时分别具有电势
时,每个导体上的电量应为:
以上N个等式可用通式表示为:
(1)
式中
叫电容系数,它的物理意义是第j个导体具有单位电势时在第i个导体上感应电荷的电量,它的大小与导体系中各导体的大小、形状、相对位置及周围介质的性质有关,与导体系的电量与电势无关。应用静电场的格林互易定理,可以证明
有一个重要性质.即:
(2)
(2)式表明,导体系中第j个导体具有单位电势在第i个导体上产生的感应电荷,与第i个导体具有单位电势在第j个导体上产生的感应电荷相等。
下面我们回到当电容器分别带有电荷
和
(
),电容器的电容仍可用
定义,Q是指要使电容器两板电势相等时,从一个极板向另一个极板转移的电量,
是电量转移之前两极板之间原有电势差结论的证明上。
显然,在电量Q转移之前,根据(1)式有如下关系:
(3)
电量Q转移之后,有以下关系:
(4)
(4)式中
、
和
是Q转移后两极板所带的电量及共同的电势。
根据电荷守恒定律,Q转移前后电容器所带有的总电量保持不变,即:
(5)
再根据(2)式有:
(6)
由(3)~(6)四式联立,可解得:
(7)
令:
(8)
(9)
则(7)式可写成:
(10)
由(8)式可看出,Q是极板1上电荷的减少量,也是极板2上电荷的增加量,因而Q是两极板之间转移的电量。
乃是两极板之间原有的电势差。由(9)式可看出,当两极板的大小、形状和相对位置以及周围的介质不变时,
、
、
都保持不变,也就是C保持不变,C就叫做电容器的电容。可见Q与
是成正比的。
这里所说的电容器电容的定义式与一般书中所说的定义式是一致的,后者仅是前者的特例,前者更具有普遍意义。对此,举例说明如下:
例1:
平行板电容器。分两种情况讨论。
(1)有一个极板接地的情况。如图所示,容易证明,当两极板很靠近且无外部导体和带电体的影响时,两极板相对的内侧面带有等量异号电荷
与-
,外侧面没有电荷分布。
当用导线连接两极板后,它们的电势均为零,
与-
完全中和,它们的电量也都是零,即:
(11)
因而电量的转移为:
(12)
则(l0)式变为:
(13)
这表明电容器的电容C等于每个极板所带电量与两极板间的电势差之比,这样自然就回到了一般教科书中的定义式。
(2)两极板都不接地的情况。如
图所示,两极板的内侧电荷面密度分别为
、
,外侧电荷面密度分别为
、
,两极板侧面积均为S,用电磁学知识即可求得:
(14)
用导线连接两极板后,因为两极板的几何性质完全一样,静电平衡时它们所带的电量相等,即:
(15)
所以转移的电量为:
根据(l4)式,则(16)式可变为:
可见,尽管两极板所带的电量不同,但它们的内侧面所带电荷是等量异号的,而且转移的也就是这部分电量。现在(10)式可变为:
(18)
注意,
是两极板内侧面上的电量,不是每个极板上的总电量,电容为每个极板内侧面所带的电量与两极板间电势差之比。
由于两极板完全一样,根据对称性,有:
(19)
把(19)式代入(9)式可得:
(20)
当一个极板接地时,(3)式变为:
(21)
由(21)式和(2)式可得出:
(22)
将(22)式代入(20)式,最后得到:
(23)
例2:
球电容器。如图所示,内外球壳半径分别为
与
,各带电荷分别为
与
,此时两球壳的电势差为:
用导线将内外球壳相连时,内球壳上的电荷将全部转移到外球壳的表面上,故转移的电量为:
(25)
故(10)式此时可变为:
显然,(26)式与普通物理书中的结果相同。