设为首页
加入收藏
扩展资料
匀速圆周运动和非匀速圆周运动
圆周运动按照速度大小是否变化可分为匀速圆周运动和非匀速圆周运动两类.
做匀速圆周运动的物体,速度大小不变,只是方向改变,因此加速度总是指向圆心,其大小不变;合外力亦总是指向圆心,大小不变.
做非匀速圆周运动的物体,速度方向和大小均变,它除了有指向圆心的加速度外,还有沿切线方向的加速度,所以合加速度不指向圆心,所受合外力也不指向圆心。物体的向心加速度大小
随v值变化,向心力
随
值变化.例如,小球沿竖直平面内的光滑圆轨道运动,如图所示,球从上向下通过A点时的受两个力作用,其中重力G方向与
相同,使小球速度大小发生变化,轨道弹力N与
垂直,指向圆心,使小球速度方向发生变化,即提供小球做圆周运动的向心力,合力F与
成一角度,并不指向圆心.
扩展资料
向心加速度公式的两种推证方式
方法一:如图1所示,质点沿半径为R的圆周做匀速圆周运动,线速
度大小为v.设经时间
,质点由A点沿圆周运动到B点,线速度改变量
的大小,由速度矢量三角形与三角形AOB相似,从对应边的比例关系可求得![]()
根据加速度和线速度的定义,质点加速度的大小为:
在时间
内,设质点由A点运动到B点转过的圆心角为
,则线速度v的方向改变的角度为
,由速度矢量三角形可知,当
时,
,速度改变量
的方向与线速度v的方向间的夹角
,即加速度a的方向与线速度v的方向垂直指向圆心.
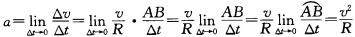
方法二:如图2所示,质点沿半径为R的圆周做匀速圆周运动,线速度大小为v.设经时间
,质点由A沿圆周运动到B点的位移AB,可视为沿A点切线方向做匀速直线运动的位移AC,与沿半径OB方向做匀加速直线运动的位移CB的矢量和.由位移矢量三角形ABC与
相似,从对应边的比例关系有
,
当
时,
,则有:
.
又由运动学规律有:
,则:
,
推出质点加速度的大小为:
.
扩展资料
易误警示
从公式
看,a与r成反比,从
,看a与r成正比,这是否矛盾?
【解析】 向心加速度与半径成正比还是成反比,要看条件才能确定,公式中的三个量,只有当其中一个量确定时,才能讨论另外两个量的关系,由公式
,当线速度v一定时,a与r成反比;由公式
,当角速度
一定时,a与r成正比,所以不矛盾。