设为首页
加入收藏
典型例题
例1 下列命题:
(1)3,3,4,4,5,5,5的众数是5;
(2)3,3,4,4,5,5,5的中位数是4.5;
(3)频率分布直方图中每一个小长方形的面积等于该组的频率;
(4)频率分布表中各小组的频数之和等于1
以上各题中正确命题的个数是 [ ].
A.1个 B.2个 C.3个 D.4个
分析:回忆统计初步中众数、中位数、频数、频率等概念,认真分析每个命题的真假.
解:(1)数据3,3,4,4,5,5,5中5出现次数最多3次,5是众数,是真命题.
(2)数据3,3,4,4,5,5,5有七个数据,中间数据是4不是4.5,是假命题.
(3)由频率分布直方图中的结构知,是真命题.
(4)频率分布表中各小组的频数之和是这组数据的个数而不是1,是假命题.
所以正确命题的个数是2个,应选B.
例2 选择题:
(1)甲、乙两个样本,甲的样本方差是0.4,乙的样本方差是0.2,那么 [ ]
A.甲的波动比乙的波动大;
B.乙的波动比甲的波动大;
C.甲、乙的波动大小一样;
D.甲、乙的波动大小关系不能确定.
(2)在频率直方图中,每个小长方形的面积等于 [ ]
A.组距 B.组数
C.每小组的频数 D.每小组的频率
分析:用样本方差来衡量一个样本波动大小,样本方差越大说明样本的波动越大.
解:(1)∵0.4>0.2,∴甲的波动比乙的波动大,选A.
例3 为了了解中年人在科技队伍中的比例,对某科研单位全体科技人员的年龄进行登记,结果如下(单位:岁)
44,40,31,38,43,45,56,45,46,42,55,41,
44,46,52,39,46,47,36,50,47,54,50,39,
30,48,48,52,39,46,44,41,49,53,64,49,
49,61,48,47,59,55,51,67,60,56,65,59,
45,28.
列出样本的频率分布表,绘出频率分布直方图.
解:按五个步骤进行:
(1)求数据最大值和最小值:
已知数据的最大值是67,最小值是28
∴最大值与最小值之差为67-28=39
(2)求组距与组数:
组距为5(岁),分为8组.
(3)决定分点
(4)列频分布表
(5)绘频率分布直方图:
例4 某校抽检64名学生的体重如下(单位:千克).
列出样本的频率分布表,绘出频率分布直方图.
分析:对这组数据进行适当整理,一步步按规定步骤进行.
解:(1)计算最大值与最小值的差:48-29=19(千克)
(2)决定组距与组数
样本容量是64,最大值与最小值的差是19千克,如果取组距为2千克,19÷2=9.5,分10组比较合适.
(3)决定分点,使分点比数据多取一位小数,第一组起点数定为28.5,其它分点见下表.
(4)列频率分布表.
(5)画频率分布直方图(见图3-1)
说明:
![]()

长方形的高与频数成正比,如果设频数为1的小长方形的高为h,频数为4时,相应的小长方形的高就应该是4h.
例5 有一个容量为60的样本,(60名学生的数学考试成绩),分组情况如下表:
(1)填出表中所剩的空格;
(2)画出频率分布直方图.
分析:
各组频数之和为60
各组频率之和为1
解:
因为各小组频率之和=1
所以第4小组频率=1-0.05-0.1-0.2-0.3=0.35
所以第4小组频数=0.35×60=21
第5小组频数=0.3×60=18
(2)
例6 某班学生一次数学考试成绩的频率分布直方图,其中纵轴表示学生数,观察图形,回答:
(1)全班有多少学生?
(2)此次考试平均成绩大概是多少?
(3)不及格的人数有多少?占全班多大比例?
(4)如果80分以上的成绩算优良,那么这个班的优良率是多少?
分析:根据直方图的表示意义认真分析求解.
解:(1)29~39分1人,39~49分2人,49~59分3人,59~69分8人,69~79分10人,79~89分14人,89~99分6人.
共计 1+2+3+8+10+14+6=44(人)
(2)取中间值计算
(3)前三个小组中有1+2+3=6人不及格占全班比例为13.6%.
(4)优良的人数为14+6=20,20÷44=45.5%.
即优良率为45.5%.
说明:频率分布表比较确切,但直方图比较直观,这里给出了直方图,从图也可以估计出一些数量的近似值,要学会认识图形.
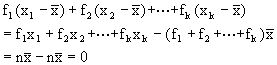
例7 回答下列问题:
总是成立吗?
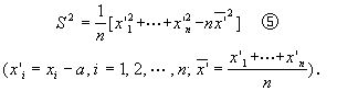
(2)一组数据据的方差一定是正数吗?
总是成立吗?
(4)为什么全部频率的累积等于1?
解:(1)证明恒等式的办法之一,是变形,从较繁的一边变到较简单的一边.这
可见,总是成立.
顺水推舟,我们用类似的方法证明(3);注意
那么有
(2)对任一组数x1,x2,…,xn,方差
![]()
这是因为自然数n>0,而若干个实数的平方和为非负,那么S2是有可对等于0的
![]()
从而x1=x2=…=xn,就是说,除了由完全相同的数构成的数组以外,任何数组的方差定为正数.
(4)设一个数组或样本的容量为n,共分为m个组,其频数分别为a1,a2,…,am,按规定,有
a1+a2+…+am=n,
而各组的频率分别a1/n,a2/n,…,am/n,因此,有
说明:在同一个问题里,我们处理了同一组数据x1,…,xn有关的两个数组f1,f2,…,fk和a1,a2,…,am,前者是说:在这组数中,不同的只有k个,而每个出现的次数分别为f1,…,fk;后者则说明这组数所占的整个范围被分成了m个等长的区间,出现在各个区间中的xi的个数分别为a1,…,am,可见,a1,…,an是f1,…fk的推广,而前面说过的众数,不过是其fi最大的那个数.
弄清研究数组x1,…,xn的有关数和概念间的联系与区别,是很重要的.
例8 回答下列问题:
(1)什么是总体?个体?样本?有哪些抽样方法?
(2)反映样本(或数据)数量水平的标志值有哪几个?意义是什么?怎样求?
(3)反映样本(或数据)波动(偏差)大小的标志值有哪几个?怎样求?有什么区别?
(4)反映样本(或数据)分布规律的数量指标和几何对象是什么?获得的一般步骤是什么?
解:这是一组概念题,我们简略回答:
(1)在统计学里,把要考查对象的全体叫做总体;其中每个考查对象叫个体;从总体中抽出的一部分个体叫做总体的一个样本;样本中个体的数目,叫做样本的容量.
应指出的是,这里的个体,是指反映某事物性质的数量指标,也就是数据,而不是事物本身,因此,总体的样本,也都是数的集合.
抽样方法通常有三种:随机抽样、系统抽样和分层抽样三种,基本原则是:力求排除主观因素的影响,使样本具有较强的代表性.
(2)反映样本(或数据)数量水平或集中趋势的标志值有三个,即平均数、众数和中位数.
有时写成代换形式;
有时写成加权平均的形式:
其中,又有总体平均数(总体中所有个体的平均数)和样本平均数(样本中所有个体的平均数)两种,通常,我们是用样本平均数去估计总体平均数.且一般说来,样本容量越大,对总体的估计也就越精确.
(ii)众数,就是在一组数据中,出现次数最多的数.通常采用爬山法或计票画“正”法去寻找.(爬山法是:看第一个数出现次数,再看第二、三、……有出现次数比它多的,有,则“爬到”这个数,再往后看……).
(iii)中位数是当把数据按大小顺序排列时,居于中间位置的一个数或两个数的平均,它与数据的排列顺序有关.
此外,还有去尾平均(去掉一个最高和一个最低的,然后平均)、总和等,也能反映总体水平.
(3)反映样本(数据)偏差或波动大小的标志值有两个:
(ii)标准差:一组数据方差的平方根:
标准差有两个优点,一是其度量单位与原数据一致;二是缓解S2过大或过小的现象.方差也可用代换式简化计算:
(4)反映数据分布规律的是频率分布和它的直方图,一般步骤是:
(i)计算极差=最大数-最小数;
(iii)决定分点(可用比数据多一位小数的办法);
(v)画频率分布直方图.
其中,分布表比较确切,直方图比较直观.
说明:此例很“大”,但是必要的,因为,当前大多数的中考题,很重视基本内容的表述,通过“填空”和“选择”加以考查,我们要予以扎实.而更为重要的,这些概念和方法,正是通过偶然认识必然,通过无序把握有序,通过部分估计整体的统计思想在数学中的实现.