http://www.nyq.cn
 当前位置:首页-> 备课参考 -> 初三数学 -> 初三上学期(代数) -> 第十四章 统计初步

第三节 方差

作者:未知来源:中央电教馆时间:2006/4/8 18:03:14阅读:nyq
字号:|


典型例题

  例1 计算下边这组数据的方差和标准差(结果精确到 );423,421,419,420,421,417,422,419,423,418。

  分析:注重对方差、标准差的计算公式或简化公式的运用。

  解法1 

  

  

  

  

  ∴

  解法2 令 ,将每一个数据都减去 ,得到一组新数据如下:3,1,-1,0,1,-3,2,-1,3,-2。

  ∴

  

  

  

  ∴

  说明:方差、标准差有三个计算公式,计算方差时要灵活运用,以便减轻运算量.一般情况下,使用简化公式进行计算较简便;当数据较小时,可直接利用方差的简化公式进行计算;当数据较大时,可建立一组对应的新数据后,再用方差的简化公式进行计算

  例2 要从甲、乙、丙三位射击运动员中选拔一名参加比赛,在预选赛中,他们每人各打10发子弹,命中的环数如下:

  甲:10 10 9 10 9 9 9 9 9 9 ;

  乙:10 10 10 9 10 8 8 10 10 8;

  丙:10 9 8 10 8 9 10 9 9 9 。

  根据这次成绩,应该选拔谁去参加比赛?

  根据这次成绩,应该选拔谁去参加比赛?

  分析:本题着重考查对方差的意义及实际运用.

  解经计算,甲、乙、丙三人命中的总环数分别为93,93,91.所以丙应先遭淘汰.

  设甲、乙的命中环数分别为 ,方差分别是 ,则:

  

  

  

  

  ∵

  ∴ 在总成绩相同的条件下,应选择水平发挥较稳定的运动员甲参加比赛。

  说明:丙的总成绩显著,应先遭淘汰,然后利用方差的含义,来考查甲、乙二人成绩的稳定性。

  例3 有个班的学生,身高测定数据如下表:

  (1)计算各小组及总体平均数;

  (2)计算各小组及总体方差;

  (3)哪个小组身高比较整齐?

  解:

  

  

  

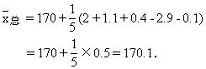
  类似算出第2、3、4、5小组平均数为:171.1,170.4,167.1,169.9.

  我们来计算总体平均:将各数均分别减去170,得

  采用“相反数就近相抵”的办法,可出现很多的0:

  

  (当然,由于各小组人数相同,也可用各组平均的平均来算:

  

  结果一样.)

  (2)据我们数据的情况,直接用定义计算小组方差就可以了.先看第一小组

  

  

  

   但它是“低水平上的”整齐.而最为参差不齐的是第二小组.

  说明:

  ①在本例求平均数的过程中,我们看到代换x抇i=xi-a还有一个好处,就是若a取得离平均数很“近”,则不仅须计算的数值大大减小,而且出现许多符号相反的数,可互相抵消,从而进一步简化计算;②如果我们把“全班学生的身高”看作总体,而把各小组的身高看作样本

  (容量为10的),我们就看出,那么不同的样本“估计”总体的效果是不一样的,比如,用第一小组平均值和方差估计总体平均值和方差是

  

  与总体误差较大,我们还可以把不同小组合并起来,形成较大的样本,比如,把第二、五小组合并(一个方差最大,一个最小),则有

  

  这是个容量为20的样本,“估计”值距真值“近”多了.我们再把二、三、五小组并起来,构成一个容量为30的样本,那么 则与总体平均值和方差,又接近一些.

返回页首  

关于本站 | 免责声明 | 业务合作 | 广告联系 | 留言建议 | 联系方式 | 网站导航 | 管理登录
闽ICP备05030710号