http://www.nyq.cn
 当前位置:首页-> 备课参考 -> 初一数学 -> 初一下学期(几何) -> 第一章 线段 角

第二节 射线、线段

作者:未知来源:中央电教馆时间:2006/4/8 18:03:13阅读:nyq
字号:|


典型例题

  1如图,直线a和射线OA能相交的是谁?为什么?

  解:直线a和射线OA能相交的是(B),因为射线向一方是无限延伸的,所以(B)图中的直线a和射线OA是能相交的.

  2 下列说法正确的是 [ ]

  A.线段AB和线段BA表示的是同一条线段;

  B.射线AB和射线BA表示的是同一条射线;

  C.直线AB和直线BA表示的是两条直线;

  D.点M在直线AB上,则点M在射线AB上.

  分析:线段AB和线段BA表示的是同一条线段;直线AB与直线BA表示的也是同一条直线;射线AB的端点为A,它向点B的方向无限延伸,射线BA的端点为B,它向点A的方向无限延伸,因此,射线AB与射线BA不是同一条射线;因为射线是直线的一部分,所以在直线AB上的点M不一定在射线AB上.

  答案:(A)

  3如图:点A、O、B在一条直线上,指出图中共有几条射线?能用图中的字母表示的射线有哪几条?

  答:共有六条射线.可以用图中的字母表示的射线有四条:射线OA、射线OB、射线AO(或叫射线AB)、射线BO(或叫射线BA).图中还有二条射线你能指出来吗?

  说明:同一条射线可以有不同的表示形式.图中射线AO也可记作射线AB,它们表示同一条射线.

  4如图,在线段AB上取一点C时,共有几条线段?在线段AB上取两点C、D时,共有几条线段?在线段AB上取三个点C、D、E时,共有几条线段?

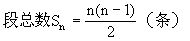
  解:在线段AB上取一点C时,线段总数S1=1+2=3(条),在线段AB上取两点C、D时,线段总数S2=1+2+3=6(条),在线段AB上取三点C、D、E时,线段总数S3=1+2+3+4=10(条)

  说明:通过本例,发现规律:

  在一条线段上共有n个点(包括最长线段的两个端点),那么在这个图形上共有线

  5 按下列语句画出图形:

  连结A、B两点作线段AB;作射线AB;作射线BA;作直线AB.

  解:如图所示.

  说明:通过此题让学生进一步理解直线、线段、射线间的关系.

返回页首  

关于本站 | 免责声明 | 业务合作 | 广告联系 | 留言建议 | 联系方式 | 网站导航 | 管理登录
闽ICP备05030710号