http://www.nyq.cn
 当前位置:首页-> 备课参考 -> 初一数学 -> 初一下学期(代数) -> 第六章 一元一次不等式和一元一次不等

第二节 不等式的解集

作者:未知来源:中央电教馆时间:2006/4/8 18:03:13阅读:nyq
字号:|


典型例题

  例1 判断下列说法是否正确?为什么?

  (1) 是不等式 的解;

  (2) 是不等式 的解集;

  (3)不等式 的解集为

  (4)不等式 的解集为

  解:(1)正确.因为1能使不等式 成立.

  (2)不正确.因为不等式 有无数个解,而 仅是其中的一个,因此不能称为解集.

  (3)不正确.因为小于1的数是不等式 的解,但是大于1小于3的数(如2,2.5等)也是不等式的解,因此 ,并不是不等式的所有解,因此不是不等式 的解集.

  (4)正确,因为 是不等式 的所有解组成的集合.

  说明:要注意区分“不等式的解”与“不等式解集”的意义.

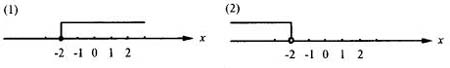
  例2 将下列不等式的解集在数轴上表示出来:

  (1) ; (2) ; (3)

  (4) ; (5) ; (6)

  解:(1)如图1        (2)如图2

 
图1                图2

  (3)如图3           (4)如图4

 
  图3               图4

  (5)如图5           (6)如图6

 
  图5              图6

  说明:在数轴上表示不等式的解集时,要特别注意画线的方向和起点:大于向右画,小于向在画;不等号中含有等号起点画实心圆点,不含有等号起点画圆圈.

  例3  分别用 的不等式表示下列用数轴表示的不等式的解集:

  解:(1) ; (2)

  例4 求不等式 的正整数解.

  解:由不等式的基本性质1,得 ,即 是不等式 的解集,因此不等式 的正整数解为1,2,共两个.

  说明:本例是求不等式的特殊解(正整数解),可先利用不等式的基本性质求出不等式的所有解(即不等式的解集),然后从所有解中筛选出特殊解.

返回页首  

关于本站 | 免责声明 | 业务合作 | 广告联系 | 留言建议 | 联系方式 | 网站导航 | 管理登录
闽ICP备05030710号