http://www.nyq.cn
 当前位置:首页-> 备课参考 -> 初一数学 -> 初一上学期 -> 第二章 有理数的意义

第九节 有理数的除法 

作者:未知来源:中央电教馆时间:2006/4/8 18:03:13阅读:nyq
字号:|


典型例题

  例1 计算:(1);  (2)

  分析 (1)题应选用除法法则(二);(2)题应先把带分数化成假分数,然后运用除法法则(一)进行计算。

  (1) (除法法则(二))

  

  (2)

   (将带分数化成假分数)

   (除法法则(一))

  * (乘法法则)

  注意:负数的倒数仍是负数。

  例2 计算

  (1)

  (2)

  (3)

  分析 对于乘除混合运算,首先由负数的个数确定符号,同时将小数化成分数,带分数化成假分数,算式化成连乘积的形式,再进行约分.(1)题注意乘除是同一级运算,应从左往右顺序运算,不能先做乘再做除,(3)题将除转化为乘的同时,化简中括号内的符号,然后用乘法分配律进行运算较简单.

   (1)

    (除法法则(一))

    (乘法法则)

  (2)

    (除法法则(一))

    (乘法法则)

   =

  (3)

    (减法法则、除法法则(一))

    (分配律、乘法法则)

   (有理数加未能法则)

  注意:(1)对于乘除法的混分达五章社从大向大的顺序依次计算,第(1)题容易犯的错误是

  (2)有理数的除法转化成乘法以后,可以利用乘法的运算律简化运算.

  (3)乘除混合运算往往先将除法转化成乘法,再确定积的符号,最后求出结果.

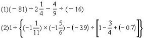
  例3 计算

  

  分析:进行有理数的加,减,乘,除混合运算时,运算顺序是先乘除,后加减,遇到括号时,应当先算括号里面的.

  第(1)题,先做除,再做减.

  第(2)题,先做中括号里的运算,然后做大括号里的乘,除等运算,最后做大括号外的除法.

  
   

  说明:在进行有理数计算时,首先应当分析算式,确定运算顺序,然后再正确、合理地进行计算.

返回页首  

关于本站 | 免责声明 | 业务合作 | 广告联系 | 留言建议 | 联系方式 | 网站导航 | 管理登录
闽ICP备05030710号