http://www.nyq.cn
 当前位置:首页-> 备课参考 -> 初一数学 -> 初一上学期 -> 第二章 有理数的意义

第七节 有理数的加减混合运算

作者:未知来源:中央电教馆时间:2006/4/8 18:03:13阅读:nyq
字号:|


典型例题

  例1 计算:

  (1)-6-2.4

  (2)0-85.7

  (3)-29+101

  

  (5)-49.5+49.5

  (6)-71.8-71.8

  

  

  分析:

  解:(1)-6-2.4=-8.4

  (2)0-85.7=-85.7

  (3)-29+101=72

  

  (5)-49.5+49.5=0

  (6)-71.8-71.8=-143.6

  

  

  说明:初学有理数计算的学生,因为受小学加减运算的习惯所影响,若把例1中各题两数之间的符号读作“加”、“减”,则非常容易出错误,所以建议把式中的“+”、“-”号一律读作“正”、“负”,按加法进行运算,经过一段时间的练习之后,再灵活掌握.

  例2 填空题:

  

  

  

  (4)比0小4的数是______,比-12大7的数是______;

  (5)-9比______小18,-9比______大18;

  (6)若m<0,n<0,|m|<|n|,则m-n______0;

  (7)若m>0,n<0,|m|<|n|,则m+n______0.

  分析:有理数的加法与减法是互为逆运算的:加数=和-被加数;减数=被减数-差;被减数=差+减数.

  如果a,b代表任意两个有理数,那么比a大m的数就是a+m,比a小n的数就是a-n,求a比b大(或小)多少,就是求a-b=?

  

  例3 把下列两个式子写成省略括号的和的形式.把它读出来,并计算出结果.

  (1)(-5)-(+9.6)+(+7.3)+(-0.7)-(-3.07)

  

  分析:引入负数后,“+”、“-”号的读法有两种,作为运算符号读作“加”、“减”;作为性质符号读作“正”、“负”.

  解:

  (1)(-5)-(+9.6)+(+7.3)+(-0.7)-(-3.07)

  =(-5)+(-9.6)+(+7.3)+(-0.7)+(+3.07)

  =-5-9.6+7.3-0.7+3.07

  =(7.3+3.07)+(-5-9.6-0.7) (加法交换律和结合律)

  =10.37+(-15.3)

  =-4.93

  

  说明:在进行有理数加、减混合运算时,为了使计算简便,经常根据以下四种情况灵活运用加法交换律和结合律.

  (1)先把符号相同的数相加,最后再把一个正数与一个负数相加;

  (2)有互为相反的两个数,应先行相加;

  (3)相加后得数是整数的若干个数应先行相加;

  (4)分母相同或易于通分的分数,可先求出它们的和.

  注意:

  (1)“+”、“-”号虽然有两种读法,但在算式中只能“一号一读,一号一用”,不能同一个符号既看成是性质符号,又看成运算符号.即同一符号两次应用是错误的.

  (2)两个有理数相加,不都是绝对值相加.异号两数相加时,绝对值是相减.

  (3)在交换加数的位置时,切记要连同前面的符号一起交换.

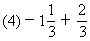
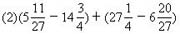
  例4 计算:

  (1)-12-(-25)+(-32)-(+4)+10

  

  分析:(1)题是有理数加减混合运算,应先把减法转化为加法,然后作加法运算;

  (2)题如果按括号的顺序进行计算,显然非常麻烦,应当用加法运算律,把同分母的分数结合起来进行计算.

  解:(1)-12-(-25)+(-32)-(+4)+10

    =-12+25-32-4+10

    =-12-32-4+25+10

    =-48+35

    =-13

  
   
   
   
   

  说明:1.对于有理数的加减混合运算,首先应统一成加法,然后省略加号,运算熟练后统一成加法及省略各加号可同时一次完成.

  2.在有理数的减法运算未转化为有理数的加法运算时,被减数与减数的位置不能交换.对减法来讲,没有交换律.

  3.求若干个有理数的代数和时,应注意运用加法的交换律、结合律,使用加法交换律的目的主要是为进一步使用结合律,即把需要结合在一起计算的数换位到一起.熟练地运用加法交换律和结合律,不但可以使运算简捷,而且对提高和发展思维能力也是大有裨益的.

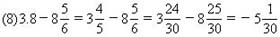
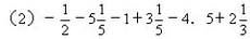
  例5 计算:

  

  

  分析:这两个算式都是求代数和,灵活运用加法的交换律和结合律能使计算简便.

  (1)题中,把分数化为小数计算较好;

  (2)题中,把分母相同的分数先相加为好.

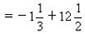
  解:(1)原式=(1.78+3.64+0.3+0.06)-(5.25+0.2+0.33)

  =5.78-5.78=0

  

  

  

  

  说明1.加减混合运算写成代数和形式后,最好把所有符号都看成是性质符号,看成是数的一部分,不能与数分开,在运用加法交换律时带着符号一起“搬家”,这样可避免产生错误.

  2.加减混合运算时,通常把正数、负数分别相加;把能凑成整数的或同分母的分数先相加;…,这样可以使运算简捷.

  3.在遇小数,分数混合运算时,是把小数化分数,还是把分数化小数,应因题而易,选择简便方法.

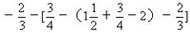
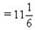
  例6

  

  分析:算式中带有括号时,有两种计算方法.一是先做小括号,再做中括号,最后做大括号里面的,二是先逐层去掉括号后“再计算”,一般先去小括号,再去中括号,最后去大括号.

  解:方法一

  
  
  
  
  

  方法二

  
  
  
  

  说明:1.比较以上两种计算方法,显然方法二简便,但要采用方法二,则必须掌握去括号的法则,不掌握去括号法则的学生,只能用方法一.

  2.括号前为“-”(减)号时,去括号的方法是:

a-(b+c)=a-b-c

a-(b-c)=a-b+c

返回页首  

关于本站 | 免责声明 | 业务合作 | 广告联系 | 留言建议 | 联系方式 | 网站导航 | 管理登录
闽ICP备05030710号