http://www.nyq.cn
 当前位置:首页-> 备课参考 -> 初一数学 -> 初一上学期 -> 第二章 有理数的意义

第三节 相反数

作者:未知来源:中央电教馆时间:2006/4/8 18:03:13阅读:nyq
字号:|


典型例题

  一、关于相反数定义的相关例题

  只有符号不同的两个数,我们就说其中一个是另一个的相反数,比如5和-5这两个数只有符号不同,我们就说:5的相反数是-5;-5的相反数是5.

  特别地,0的相反数是0.一般地,任意的一个有理数a,它的相反数是-a.a本身既可以是正数,也可以是负数,还可以是零.

  

  :6.9的相反数是-6.9

  -12的相反数是12

  

  

  反数?

  :-(+20)是+20的相反数;

  

  〔例3〕根据相反数的意义,化简下列各数:

   (1)-(-48) (2)-(+2.56)

  

  :(1)-(-48)=48

  (2)-(+2.56)=-2.56

  

  (4)-[-(-91)]=-(+91)=-91

  互为相反数的两个数在数轴上表示出来后,表示这两个数的点,分别在原点的两旁,与原点的距离相等,并且互为相反数的两数和为0.

  二、典型例题分析

  例1 下面说法中正确的是 [ ]

  

  C.-a的相反数是正数;

  D.两个表示相反意义的数是相反数.

  分析  互为相反的数应是数字相同,符号不同的数.A中的两个数是互为倒数,它们不是互为相反数,要注意区别相反数与倒数;B中的两个数的符号不同,数字相同,1/8=0.125,所以它们是互为相反数;C中的-a不一定是负数,若a是负数,则-a是正数,正数的相反数是负数;D中要注意区别相反数和相反意义的量,在数轴上互为相反数是在原点两旁,并且与原点距离相等的两个数,相反意义的量则不同,如向东行40米和向西行50米是相反意义的量,不是相反数.

  解  根据分析,A、C、D均错,只有B对, ∴选B.

  例2 化简下列各数:

  (1)-(+3); (2)-(-2);

  (3)-[-(-5)]; (4)-[-(+5)];

  (5)-(-m); (6)+(-a);

  (7)-(a-b); (8)-(a+b).

  分析  在一个数前面加上“+”号,所得数还是原来的数;在一个数前面加上“-”号,表示求这个数的相反数.如:(1)题表示求+3的相反数;(2)题表示求-2的相反数;(3)题表示求-5的相反数的相反数;(6)题表示仍为-a自身;(7)题表示求a-b的相反数.

   (1)-(+3)=-3;

  (2)-(-2)=+2;

  (3)-[-(-5)]=-(+5)=-5;

  (4)-[-(+5)]=-(-5)=+5;

  (5)-(-m)=m;

  (6)+(-a)=-a;

  (7)-(a-b)=-a+b=b-a;

  (8)-(a+b)=-a-b.

  点评  所谓简化一个数的符号,就是把多重符号化成单一符号,如果是正号则可省略不写.

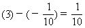
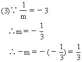
  例3  填空:

  

  

  分析

  

  (2)是已知x的相反数求原数(x)的问题;

  (3)是已知m的倒数,求m的相反数的问题.

  

  
  
  

  点评  要注意区别相反数与倒数:

  如果a、b互为相反数,则a+b=0,a、b是符号不同“数值”相同的两个数;

  如果a、b互为倒数,则ab=1,a、b是符号相同“数值”不同(±1例外)的两个数

返回页首  

关于本站 | 免责声明 | 业务合作 | 广告联系 | 留言建议 | 联系方式 | 网站导航 | 管理登录
闽ICP备05030710号