设为首页
加入收藏
例1 组成核酸的核苷酸的种类共有( )
A.2种 B.4种 C.5种 D.8种
【解析】 核酸分为DNA和RNA两大类,核酸的基本组成单位是核苷酸。DNA的基本组成单位是脱氧核糖核苷酸,每种脱氧核糖核苷酸由一分子磷酸、一分子脱氧核糖和一分子含N碱基组成,而含N碱基有A、G、C、T四种,因此,脱氧核糖核苷酸有4种。同样,组成RNA的核糖核苷酸也有4种。二者的不同:①含N碱基不同:DNA中含T,而RNA中含U,其余都相同。②五碳糖不同:组成DNA的五碳糖是脱氧核糖,组成RNA的五碳糖是核糖,因此组成核酸的核苷酸应是8种。
【答案】 D
例2 烟草、烟草花叶病毒、噬菌体的核酸中碱基的种类依次是( )
A.4 4 4 B.5 5 4 C.5 4 4 D.4 4 5
【解析】 烟草是真核生物,细胞内既有DNA又有RNA;烟草花叶病毒只含RNA,噬菌体内只含有DNA,当然这两种病毒中还含有蛋白质。构成DNA的碱基有4种(A、T、G、C);RNA的碱基也有4种(A、U、G、C)。由此可知,烟草中含有5种碱基,烟草花叶病毒和噬菌体均为4种。
【答案】 C
例3 从某生物中提取出DNA进行化学分析,发现鸟嘌呤与胞嘧啶之和占全部碱基数的46%,又知该DNA的一条链(H链)所含的碱基中28%是腺嘌呤,问与H链相对应的另一条链中腺嘌呤占该链全部碱基数的( )
A.26% B.24% C.14% D.11%
【解析】 解此题目时,应先绘出两条链碱基符号,并注明含量,这样非常直观,便于推导和分析来理清解题思路,寻求解决方法。明确DNA的两条链中含碱基数目相同,且A=T,G=C,一条链中的A、T、G、C数量等于另一条链中的T、A、C、G数量,由此可对方程组解出答案。
方法一:假定每条链中有100个碱基,则双链DNA中(G+C)=100×2×46%= 92(个)
(个)
,
(个)
(个)
即:A对占该链全部碱基的26%
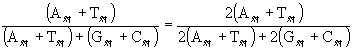
方法二:
(G+C)占双链的DNA的46%
(A+T)占双链DNA的54%
(A+T)=2
G+C=2
占该链的百分数为:

![]()
即:双链中(A+ T)的百分数等于每条单链的百分数。
【答案】 A
例4 如果将大肠杆菌的 DNA分子用
标记,然后将大肠杆菌移入
培养基上连续培养。从分析得知,第一代大肠杆菌DNA储存的遗传信息与亲代大肠杆菌DNA储存的遗传信息完全相同,其原因是__________。若连续培养三代,此时,含
标记的DNA分子约占大肠杆菌DNA分子总量的多少?其原因是多少?
【解析】 解题时,可用下图表示双链DNA分子复制过程:从图解可知,第二代大肠杆菌的DNA分子是以亲代的DNA分子中两条母链分别为模板,根据碱基互补配对原则复制而成的。第二代大肠杆菌的DNA分子总量中,含
标记的为
(即
);第三代应为
(即
)。
【答案】 以亲代DNA为模板,根据碱基互补配对原则复制而成;25%;因 DNA分子的复制方式为半保留复制。