http://www.nyq.cn
 当前位置:首页-> 备课参考 -> 高二生物 -> 高二上学期 -> 第三章 生物的新陈代谢

第二节 新陈代谢与ATP 

作者:未知来源:中央电教馆时间:2006/4/29 8:31:34阅读:nyq
字号:|


典型例题

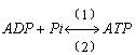
  例1 有关反应式   的叙述中,其中错误的是:

  A、该反应表明了物质是可逆的,但能量是不可逆的

  B、反应(1)过程中所需的酶,可分布在叶绿体的基粒和基质中

  C、肺泡内的气体交换时,没有发生反应(2

  D、有氧呼吸时,反应(1)过程主要发生在[H]与氧结合成水时

  答案B

  解析:选项A的说法是正确的;选项B的错误在于:反应(1)过程在光合作用的光反应中完成的,而绿色植物的光反应场所是在叶绿体的基粒片层结构薄膜上,此过程的场所不发生在叶绿体的基质中,叶绿体的基质主要发生光合作用的暗反应;选项C是正确的,因为肺泡内的气体交换是通过自由扩散实现的,而自由扩散是不耗能量的;选项D也是正确的,因为有氧呼吸中产生的ATP最多的一步是氧气与[H]结合成水时。

  例2 下列哪项能量的转变,不可能在生物体内发生:

  A、光能到化学能           B、热能到化学能

  C、化学能到光能           D、化学能到热能

  答案B

  解析:在绿色植物体内,可通过光合作用完成从光能到化学能的转化,因此,选项A中的叙述是正确的;在生物体内可完成从化学能到光能的转化,如一些能发光的生物(某些浮游生物、萤火虫等);在生物体内可完成从化学能到热能的转化,如生物通过呼吸作用产生ATP(自由能)的过程中,葡萄糖中的化学能约有60%的能量转化为热能;在生物体内还可完成从化学能到电能的转化,如一些能产生高压电场的生物(电鳗、电鳐等),因此选项CD中的叙述是正确的;在生物体内是不能完成从热能到化学能的转化的,因此选项B中的叙述是不正确的,因此选择B

  例3 下图中能表示动物肌细胞内ATP产生量与氧气供给之间的曲线:

  Aa      Bb         Cc             Dd

  答案B

  解析:首先ATP在动物肌细胞中的含量在无氧的条件下也不会为0,因此选项D是不正确的;选项A表示氧气供应量越多,ATP产生量越多,这也是不正确的,因为随着氧气供应量增多,ATP产生量越多,但当氧气供给量在一定数量后,由于产生ATP的酶有限,ATP的产生不会一直增加,同时生物体还在不断消耗着ATP,因此选项A是不正确的,选项B是正确的;选项C也不确定,氧气的增加,ATP产生量反而下降,在正常情况不会发生这种变化。

  例4 人们工作,学习和劳动都需要能量,食物在人体内经消化可转化为葡萄糖,葡萄糖在体内转化为二氧化碳和水,同时产生能量,一个质量为60kg的短跑运动员起跑时以1/6s的时间冲出1m,他在这一瞬间消耗体内储存的葡萄糖          g

  答案0.67

  解析:本题为物理和生物综合的题,思路是用物理学知识计算出一个质量为60kg的短跑运动员起跑时以1/6s的时间冲出1m所消耗的能量,这个能量应等于该运动员的动能,再用该动量除以E,计算出需要消耗的葡萄糖的摩尔数,再换算葡萄糖的克数。

  具体计算如下:

  假设该运动员的运动为匀加速直线运动,该运动员以1/6s的时间冲出1m时的瞬时速度,依题义V0=0m/st=1/6ss=1m,依Vt=ats=1/2at2,求得Vt=12m/s;此时该运动员所具有的动能=1/2mVt2=1/2×60×12×12=4320J

  1摩尔葡萄糖完全氧化可放出2870kJ的能量,但这些能量中只有1161kJ的能量可转化为ATP中的能量,而真正可以用来为生物体做功的能量只是储存在ATP中的这些化学能(储存在ATP中的能量又称为自由能),因此有下式:

  消耗葡萄糖的摩尔数=4320J÷1161KJ/mol3.72×103mol

  消耗葡萄糖的克数=消耗葡萄糖的摩尔数×葡萄糖的摩尔质量=4320J÷1161KJ/mol×180g/mol0.67g

返回页首

关于本站 | 免责声明 | 业务合作 | 广告联系 | 留言建议 | 联系方式 | 网站导航 | 管理登录
闽ICP备05030710号