http://www.nyq.cn
 当前位置:首页-> 备课参考 -> 初一数学 -> 初一下学期(代数) -> 第七章 整式的乘除

第三节 单项式的乘法

作者:未知来源:中央电教馆时间:2006/4/8 18:03:13阅读:nyq
字号:|


教学设计示例

  一、教学目的

  1.使学生理解并掌握单项式的乘法法则,能够熟练地进行单项式的乘法计算.

  2.注意培养学生归纳、概括能力,以及运算能力.

  3.通过单项式的乘法法则在生活中的应用培养学生的应用意识.

  二、重点、难点

  重点:掌握单项式与单项式相乘的法则.

  难点:分清单项式与单项式相乘中,幂的运算法则.

  三、教学过程

  复习提问:

  什么是单项式?什么叫单项式的系数?什么叫单项式的次数?

  引言 我们已经学习了幂的运算性质,在这个基础上我们可以学习整式的乘法运算.先来学最简单的整式乘法,即单项式之间的乘法运算(给出标题).

  新课 看下面的例子:计算

  (1)2x2y·3xy2; (2)4a2x2·(-3a3bx).

  同学们按以下提问,回答问题:

  (1)2x2y·3xy2

  ①每个单项式是由几个因式构成的,这些因式都是什么?

  2x2y·3xy2=(2·x2·y)·(3·x·y2)

  ②根据乘法结合律重新组合

  2x2y·3xy2=2·x2·y·3·x·y2

  ③根据乘法交换律变更因式的位置

  2x2y·3xy2=2·3·x2·x·y·y2

  ④根据乘法结合律重新组合

  2x2y·3xy2=(2·3)·(x2·x)·(y·y2)

  ⑤根据有理数乘法和同底数幂的乘法法则得出结论

  2x2y·3xy2=6x3y3

  按以上的分析,写出(2)的计算步骤:

  (2)4a2x2·(-3a3bx)

   =4a2x2·(-3)a3bx

   =[4·(-3)]·(a2·a3)·(x2·x)·b

   =(-12)·a5·x3·b

   =-12a5bx3

  通过以上两题,让学生总结回答,归纳出单项式乘单项式的运算步骤是:

  ①系数相乘为积的系数;

  ②相同字母因式,利用同底数幂的乘法相乘,作为积的因式;

  ③只在一个单项式里含有的字母,连同它的指数也作为积的一个因式;

  ④单项式与单项式相乘,积仍是一个单项式;

  ⑤单项式乘法法则,对于三个以上的单项式相乘也适用.

  看教材,让学生仔细阅读单项式与单项式相乘的法则,边读边体会边记忆.

  利用法则计算以下各题.

  例1 计算以下各题:

  (1)4n2·5n3

  (2)(-5a2b3)·(-3a);

  (3)(-5an+1b)·(-2a);

  (4)(4×105)·(5×106)·(3×104).

   解:(1) 4n2·5n3

   =(4·5)·(n2·n3)

   =20n5

  (2) (-5a2b3)·(-3a)

   =[(-5)·(-3)]·(a2·a)·b3

   =15a3b3

  (3) (-5an+1b)·(-2a)

   =[(-5)·(-2)]·(an+1·a)b

   =10an+2b;

  (4) (4·105)·(5·106)·(3·104)

   =(4·5·3)·(105·106·104)

   =60·1015

   =6·1016

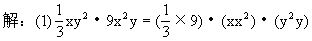
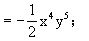
  例2 计算以下各题(让学生回答):

  
  
  (3)(-5amb)·(-2b2);

  (4)(-3ab)(-a2c)·6ab2

   =3x3y3

  
   
     

  (3) (-5amb)·(-2b2);

   =[(-5)·(-2)]·am·(b·b2)

   =10amb3

  (4)(-3ab)·(-a2c)·6ab2

   =[(-3)·(-1)·6]·(aa2a)·(bb2)·c

   =18a4b3c.

  小结 单项式与单项式相乘是整式乘法中的重要内容,它的运算法则的导出主要依据是,乘法的交换律与结合律以及幂的运算性质.

返回页首  

关于本站 | 免责声明 | 业务合作 | 广告联系 | 留言建议 | 联系方式 | 网站导航 | 管理登录
闽ICP备05030710号