http://www.nyq.cn
 当前位置:首页-> 备课参考 -> 高二物理 -> 高二上学期 -> 第十三章 气体

第二节 气体的实验定律

作者:未知来源:中央电教馆时间:2006/4/5 10:03:01阅读:nyq
字号:|


教学设计方案

教学用具:验证玻意耳定律和查理定律的实验装置各一套.

教学主要过程设计:在教师指导下学生认识实验并帮助记录数据,在教师启发下学生自己分析总结、推理归纳实验规律.

课时安排:2课时

教学步骤

(一)课堂引入:

  教师讲解:我们学习了描述气体的三个物理参量——体积、温度、压强,并知道对于一定质量的气体,这三个量中一个量变化时,另外两个量也会相应的发生变化,三个量的变化是互相关联的,那么,对于一定质量的气体,这三个量的变化关系是怎样的呢?这节课,我们便来研究一下!

(二)新课讲解:

  教师讲解:在物理学中,当需要研究三个物理量之间的关系时,往往采用“保持一个量不变,研究其它两个量之间的关系,然后综合起来得出所要研究的几个量之间的关系”,我们研究一定质量的气体温度、体积、压强三者的关系,就可以采用这种方法.首先,我们设定温度不变,研究气体体积和压强的关系.

  1、气体的压强与体积的关系——玻意耳定律

  演示实验:一定质量的气体,在保持温度不变的情况下改变压强,研究压强与体积的关系.让学盛帮助记录数据.

压强 Pa

0.5

1.0

1.5

2.0

2.5

3.0

3.5

4.0

体积V/L

8.0

4.0

2.7

2.0

1.6

1.3

1.1

1.0

4.0

4.0

4.05

4.0

4.0

3.9

3.85

4.0

  以横坐标表示气体的体积,纵坐标表示气体的压强,作出压强p与体积的关系如图所示.

  可见,一定质量的气体,在体积不变的情况,压强P随体积V的关系图线为一双曲线,称为等温线.①见等温线上的每点表示气体的一个状态.②同一等温线上每一状态的温度均相同.③对同一部分气体,在不同温度下的等温线为一簇双曲线,离坐标轴越近的等温线的温度越高.

  通过实验得出,一定质量的某种气体,在温度保持不变的情况下,压强p与体积V的乘积保持不变,即: 常量

  或压强p与体积V成反比,即:

  这个规律叫做玻意耳定律,也可以写成:

例如:一空气泡从水库向上浮,由于气泡的压强逐渐减小,因此体积逐渐增大.

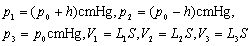
例题1:如图所示,已知: ,求:

  解:根据图像可得:

    

  ∵ 封闭在管中的气体质量、温度均不变.

  

  即:

  解得:

  2、气体的压强与温度的关系——查理定律

  演示实验:一定质量的气体,在体积保持不变的情况下改变温度,研究压强与温度的关系.让学生帮助记录数据.

压强 Pa

1.0

1.1

1.2

1.3

1.4

1.5

1.6

1.7

温度T/K

300

330

360

390

420

450

480

510

  以横坐标表示气体的温度,纵坐标表示气体的压强,作出压强p与温度T的关系如图所示.

  可见,一定质量的气体,在体积不变的情况下,压强p与热力学温度的关系,图线为通过原点的一条直线,称为等容线.

  ①等容线上的每一点表示气体的一个状态.②同一等容线上每一状态的体积均相同.③对同一部分气体,在不同体积下的等容线为一簇通过原点的直线,离横轴越远的等容线的体积越大( ).

通过实验得出,一定质量的某种气体,在体积不变的情况下,压强p与热力学温度T之比保持不变,即: 常量

  或压强p与热力学温度T成正比,即:

  这个规律叫做查理定律,也可以写成:

例如:乒乓球挤瘪后,放在热水里泡一会儿,由于球内气体温度升高,压强增大,就把乒乓球挤回球形.

例题2:一定质量的某种气体在20℃时的压强是 Pa,保持体积不变,温度升高到50℃,压强是多少?温度降到-17℃时,压强是多少?

  解:∵  因气体的质量和体积均不变

  ∴ 

  即

  

  3、气体的体积和温度的关系——盖·吕萨克定律

  教师讲解:由前面我们得到:

  则可以得到:

  也就是说:一定质量的气体,在压强不变的情况下,体积与热力学温度成正比,即:

  这个规律叫做盖·吕萨克定律,也可以写成:

  一定质量的气体,在压强不变的情况下,体积V与热力学温度的关系图线为通过原点的直线,称为等压线.

  ①等压线上每一点表示气体的一个状态.②同一等压线上每一状态的压强相等.③对同一部分气体,在不同压强下的等压线为一簇通过原点的直线,离横轴越远的等压线的压强越大( ).

  教师总结:理想气体的状态方程是由实验定律推证出来的,我们也可以把玻意耳定律、查理定律、盖·吕萨克定律分别看成是在温度、体积、压强不变的情况下理想气体状态方程的特殊情况,或者说,理想气体的状态方程包括了三个实验定律.

(三)板书设计

二、气体实验定律

1、气体的压强与体积的关系——玻意耳定律

  内容:                  图像:

  表达式:

2、气体的压强与温度的关系——查理定律

  内容:                  图像:

  表达式:

3、气体的温度与体积的关系——盖·吕萨克定律:

  内容:                      图像:

  表达式:

返回页首

关于本站 | 免责声明 | 业务合作 | 广告联系 | 留言建议 | 联系方式 | 网站导航 | 管理登录
闽ICP备05030710号