设为首页
加入收藏
教学设计示例(一)
机械能守恒定律的应用
一、素质教育目标
(一)知识教学点
1.熟悉应用机械能守恒定律解题的步骤.
2.明了应用机械能守恒定律分析问题的注意点.
3.理解机械能守恒定律和动量守恒定律的应用差异.
(二)能力训练点
1.针对具体的物理现象和问题,正确应用机械能守恒定律.
2.掌握解决力学问题的思维程序,总体把握解决力学问题的各种方法.
(三)德育渗透点
1.在解决物理问题的过程中,培养认真仔细有序的分析习惯。
2.具体情况具体分析,提高思维的客观性,准确性。
(四)美育渗透点
通过具体问题的分析,使学生把知识向能力转化,增强自信,产生追求科学、追求真理的美好理想。
二、学法引导
采用学生自学教材、结合教师的点评,经过分析和讨论来形成一般的解题思想。
三、重点·难点·疑点及解决办法
1.重点
机械能守恒定律的具体应用。
2.难点
同时应用动量守恒定律和机械能守恒定律分析解决较复杂的力学问题。
3.疑点
动量守恒定律和机械能守恒定律的应用差异。
4.解决办法
(1)分析典型例题,解剖麻雀,从而掌握机械能守恒定律应用的程序和方法。
(2)比较研究,能准确选择解决力学问题的方法、灵活运用各种定律分析问题。
四、课时安排
1课时
五、教具学具准备
例题课件
六、师生互动活动设计
1.教师指导学生自学,引导归纳。
2.学生自学,经过实例分析,定量计算来总结定律的使用条件和使用的方法。
七、教学步骤
(一)明确目标
(略)
(二)整体感知
解决力学问题一般有三种方法,一是运用力对物体的瞬时作用效果——牛顿运动定律;二是运用力对物体的时间积累的作用效果——动量定律和动量守恒定律;三是运用力对物体的空间积累作用效果——动能定理和机械能守恒定律,根据题设条件提供的具体情况,选择不同的方法,是本节教学的内容之一.
(三)重点、难点的学习与目标完成过程
【引入新课】复习上节课的机械能守恒定律内容及数学表达式.
【新课教学】
现举例说明机械能守恒定律的应用.
在离地面高h的地方,以
的速度斜向上抛出一石块,
的方向与水平成
角,若空气阻力不计,求石块落至地面的速度大小.(看例题课件)
设石块的质量为m,因空气阻力不计,石块在整个运动过程只受重力,只有重力做功,石块机械能保持守恒.
现取地面为零重力势能面.
石块在抛出点的机械能:
石块在落地点的机械能:
据
列出等式
可得:
从以上解答可看出,应用机械能守恒定律解题简洁便利,显示出很大的优越性,不仅适合于直线运动,也适合于做曲线运动的物体,分析以上解题过程,还可归纳出
1.应用机械能守恒定律解题的基本步骤
(l)根据题意,选取研究对象(物体或相互作用的物体系)
(2)分析研究对象在运动过程中所受各力的做功情况,判断是否符合机械能守恒的条件.
(3)若符合定律成立的条件,先要选取合适的零势能的参考平面,确定研究对象在运动过程的初、末状态的机械能值.
(4)根据机械能守恒定律列方程,并代人数值求解.
2.在应用机械能守恒定律时,要注意其他力学定理、定律的运用,对物体的整个过程进行综合分析.再举一例.
如图所示,光滑的倾斜轨道与半径为R的圆形轨道相连接,质量为m的小球在倾斜轨道上由静止释放,要使小球恰能通过圆形轨道的最高点,小球释放点离圆形轨道最低点多高?通过轨道点最低点时球对轨道压力多大?(看例题课本)
小球在运动过程中,受到重力和轨道支持力,轨道支持力对小球不做功,只有重力做功,小球机械能守恒.
取轨道最低点为零重力势能面.
因小球恰能通过圆轨道的最高点C,说明此时,轨道对小球作用力为零,只有重力提供向心力,根据牛顿第二定律可列
得
在圆轨道最高点小球机械能
在释放点,小球机械能为
根据机械能守恒定律
列等式:
解设
同理,小球在最低点机械能
小球在B点受到轨道支持力F和重力
根据牛顿第二定律,以向上为正,可列
据牛顿第三定律,小球对轨道压力为6mg.方向竖直向下.
在较复杂的物理现象中,往往要同时应用动量守恒定律和机械能守恒定律,明确这两个定律应用上的差异,可正确运用它们,客观反映系统中物体间的相互作用,准确求出有关物理量.
【例】 在光滑的水平面上,置放着滑块A和B,它们的质量分别为
和
,B滑块与一轻弹簧相连,弹簧的另一端固定在竖直的墙上,滑块A以速度
与静止的滑块B发生正碰后粘合一起运动并压缩弹簧,如图所示,求此过程中弹簧的最大弹性势能(看例课课件)
滑块A与B碰撞瞬间,对于滑块A、B组成的物体系,所受合外力为零,动量守恒,得
在滑块A、B粘合一起运动压缩弹簧时,只有弹簧的弹力做功,A、B滑块和弹簧组成的系统机械能守恒,弹簧弹性势能最大时,滑块A、B动能为零.动能全部变为弹簧的弹性势能,则
两式联立解,
可得
(四)总结、扩展
1.在只有重力和弹力做功的情况下,可应用机械能守恒定律解题.也可以用动能定理解题,这两者并不矛盾.前者往往不深究过程的细节而使解答过程显得简捷,但后者的应用更具普遍性.
2.动量守恒定律和机械能守恒定律的比较
(l)两个定律的研究对象都是相互作用的物体组成的系统.两个定律的数学表达公式中的物理量都是相对于同一参照系的.
(2)两定律研究的都是某一物理过程,注重的是运动过程初、末状态的物理量,而不深究运动过程中各物体间的作用细节.
(3)两定律的成立条件不同,动量是否守恒,决定系统所受合外力是否为零,而不管内外力是否做功.而机械能是否守恒,决定于是否有重力和弹力以外的力做功,而不管这些力是内力还是外力.
(4)动量守恒定律的数学表达公式是矢量式,要使运算简便,可先定正方向,把矢量运算变为代数运算,机械能守恒定律的数学表达公式是标量式,但要先选定零重力势能面,才能列出具体的机械能守恒公式.
八、布置作业
P151练习六(3)(4)(5)
九、板书设计
1.应用机械能守恒定律解题的基本步骤
(1)选取研究对象
(2)分析机械能守恒条件
(3)选定参考平面,明确初末状态物体的机械能值
(4)根据定律列方程式计算
2.注重机械能守恒定律和其他力学定理、定律的综合应用.
教学设计示例(二)
机械能守恒定律应用
本节教材分析
本节重点介绍机械能守恒定律的应用,要求学生知道应用机械能守恒定律解题的步骤以及用这个定律处理问题的优缺点,并会用机械能守恒定律解决简单的问题.另外,在本节中要学会据题设条件提供的具体情况, 选择不同的方法,用机械能守恒定律以及学过的动量定理、动能定理、动量守恒定律等结合解决综合问题.
教学目标
一、知识目标
1.知道应用机械能守恒定律解题的步骤.
2.明确应用机械能守恒定律分析问题的注意点.
3.理解用机械能守恒定律和动能定理、动量守恒定律综合解题的方法.
二、能力目标
1.针对具体的物理现象和问题,正确应用机械能守恒定律.
2.掌握解决力学问题的思维程序,学会解决力学综合问题的方法.
三、德育目标
1.通过解决实际问题,培养认真仔细有序的分析习惯.
2.具体问题具体分析,提高思维的客观性和准确性.
教学重点
机械能守恒定律的应用.
教学难点
判断被研究对象在经历的研究过程中机械能是否守恒,在应用时要找准始末状态的机械能.
教学方法
1.自学讨论,总结得到机械能守恒定律的解题方法和步骤;
2.通过分析典型例题,掌握用机械能守恒定律、动能定律、动量守恒定律解决力学问题.
教学用具
自制的投影片、CAI课件
教学过程
出示本节课的学习目标:
1.会用机械能守恒定律解决简单的问题.
2.知道应用机械能守恒定律解题的步骤以及用该定律解题的优点.
3.会用机械能守恒定律以及与学过的动量定理、动能定理、动量守恒定律等结合解决综合问题.
学习目标完成过程:
一、导入新课
1.用投影片出示复习思考题:
①机械能守恒定律的内容是什么?
②机械能守恒定律的数学表达形式是什么?
2.学生答:
①在只有重力做功的情形下,物体的动能和重力势能发生相互转化,但机械能的总量保持不变;在只有弹力做功的情形下,物体的动能和弹性势能发生相互转化,但机械能的总量保持不变.
②机械能守恒定律数学表达式有两种:
第一种:
-
=
-
即动能的增加量等于重力势能的减小量
第二种:
+
=
+
即半初态的机械能等于初动态的机械能.
3.引入:本节课我们来学习机械能守恒定律的应用.板书:机械能守恒定律的应用
二、新课教学
1.关于机械能守恒定律解题的方法和步骤:
(1)学生阅读本节课文的例1和例2
(2)用多媒体出示思考题
①两道例题中在解题方法上有哪些相同之处?
②例1中如果要用牛顿第二定律和运动学公式求解,该如何求解?
③你认为两种解法解例1,哪种方法简单?为什么?
(3)学生阅读结束后,解答上述思考题:
学生答:课文上的两道例题的解题方法上的相同之处有:
a:首先确定研究对象:例1中以下滑的物体作为研究对象;例2中以小球作为研究对象
b:对研究对象进行受力分析:
例1中的物体受到重力和斜面的支持力,例2中的小球受到重力和悬线的拉力
c:判定各个力是否做功,并分析是否符合机械能守恒的条件:
例1中的物体所受的支持力与物体的运动方向垂直,不做功,物体在下滑过程中只有重力做功,所以机械能守恒.
例2中的小球所受的悬线的拉力始终垂直于小球的运动方向,不做功,小球在摆动过程中 ,只有重力做功,所以小球的机械能守恒.
d:选取零势能面,写出初态和末态的机械能,列方程解答有关物理量.
(4)在实物投影仪上展示学生所做的用牛顿运动定律和运动学公式解答例1的过程:
解:物体受重力mg和斜面对物体的支持力F支,将重力mg沿平行于斜面方向和垂直于斜面
方向分解,得物体所受的合外力.
又v
∴vt=
=
m/s=4.4 m/s
(5)把上述解题过程与课本上的解题过程类比,得到应用机械能守恒定律解题,可以只考虑运动的初状态和末状态,不必考虑两个状态之间的过程的细节,所以用机械能守恒定律解题,在思路和步骤上比较简单.
(6)总结并板书运用机械能守恒定律解题的方法和步骤
①明确研究对象;
②分析研究对象在运动过程中的受力情况以及各力做功的情况,判断机械能是否守恒;
③确定运动的始末状态,选取零势能面,并确定研究对象在始、末状态时的机械能;
④根据机械能守恒定律列出方程,或再辅之以其他方程,进行求解.
2.用机械能守恒定律求解实际问题
(1)用投影片出示问题(一):
在课本例2中选择B点所在的水平面作为参考平面,则小球运动到最低点时的速度多大?
(2)学生解答
(3)在实物投影仪上展示学生的解答过程:
解:选择B点所在的水平面作为参考平面时:小球在B点具有的重力势能
=0,动能
=0,机械能E1=
+
=0
摆球到达最低点时,重力势能
=-mgh=-mgl(1-cosθ),动能
=
,机械能E2=
+
=
-mgl(1-cosθ)
由E2= E1=0,可得
=mg(1-cosθ)l
∴v=
3.得到的结果与例2结果相同,说明了什么?
学生答:说明了用机械能守恒定律解题时,计算结果与参考平面的选择无关.
4用投影片出示问题(二)
①物体的质量为m,沿着光滑的轨道滑下轨道形状如图所示,与斜轨道相接的圆轨道半径为R,要使物体沿光滑的圆轨道恰能通过最高点,物体应从离轨道最低处多高的地方由静止开始滑下?
②出示分析思考题:
a:你选什么做为研究对象?
b:对选定的研究对象而言,对它做功的力有哪几个? 符合物体机械能守恒的条件吗?
c:物体恰能通过圆轨道最高点的条件是什么?
③师生讨论后分组得到:
a:选物体作为研究对象.
b:物体在沿光滑的轨道滑动的整个过程中只有重力做功,故机械能守恒.
c:物体恰好能通过最高点的条件是mg=m
④学生书写解题过程,并在多媒体投影仪上展示解题过程:
解:物体在沿光滑的轨道滑动的整个过程中,只有重力做功,故机械能守恒,设物体应从离轨道最低点h高的地方开始由静止滑下,轨道的最低点处水平面为零势能面,物体在运动到圆周轨道的最高点时的速度为v,则开始时物体的机械能为mgh,运动到圆轨道最高点时机械能为2mgR+
mv2,据机械能守恒条件有:
mgh=2mgR+
mv2
要使物体恰好通过圆轨道最高点,条件是
mg=m
联立上面两式可求出: h=2R+
5.用投影片出示问题(三)
问题:如图所示,带有光滑的半径为R的
圆弧轨道的滑块静止在光滑的水平面上,此滑块的质量为M,一只质量为m的小球由静止从A放开沿轨道下落,当小球从滑块B处水平飞出时,求下列两种情况下小球飞出的速度
A:滑块固定不动;
B:滑块可以在光滑的水平面上自由滑动.
①提出问题:
a:在本题的两问中物体和滑块运动时是否受到摩擦力的作用?
b:两问中,小球的机械能是否守恒?为什么?
c:如果不守恒,那么又该如何求解?
②学生分组讨论.
③抽查讨论结果:
学生甲:由于轨道和水平地面均光滑,所以小球和滑块在运动过程中均不受摩擦力的作用;
学生乙:在第一种情况下,小球要受到重力mg和滑块对小球的弹力的作用,且只有小球的重力做功,故小球的机械能守恒.
第二种情况下,小球下滑时,重力势能减少,同时小球和滑块的动能都增加,所以小球的机械能不守恒对于第3个问题,学生得不到正确的结果,教师可以进行讲解点拨:
在第二种情况下,小球的重力势能减小,同时小球和滑块的动能增加,据能的转化和守恒得到:小球重力势能的减小等于小球和滑块动能的增加 ,得到上述关系后,即可求解.
④用多媒体逐步展示解题过程
解:a:当滑块固定不动时,小球自滑块上的A点开始下滑的过程中,小球要受到重力mg和滑块对小球的弹力的作用,而做功的只有小球的重力,故小球的机械能守恒,设小球从B飞出时的水平速度为v,以过B处的水平面为零势能面,则小球在A、B两处的机械能分别为mgR和
.据机械能守恒定律有:mgR=
可得到,
.
b:据机械能守恒定律可知:小球重力势能的减少等于小球和滑块动能的增加,即mgR=
+
又因为小球和滑块构成的系统在水平方向上合外力为零,故系统在水平方向上动量也守恒,以小球飞出时速度v1的方向为正方向:
据动量守恒定律有:mv1-Mv2=0
解上面两式得出:v1=
即:此时小球飞出的速度大小为
⑤师问:同学们,本题中的第1问还有其他求解方法吗?
学生充分讨论后,抽查解答.
学生答:还可以用动能定理求解:
小球从A到B下滑的过程中,小球的重力做的功mgR也就是小球的合外力的功(轨道对小球的弹力不做功),因而利用动能定理也可以建立方程:mgR=
-0,解出v=
.
⑥教师总结:能用机械能守恒定律解的题一般都能用动能定理解决.而且省去了确定是否守恒和选定零势能面的麻烦,反过来,能用动能定理来解决的题却不一定都能用机械能守恒定律来解决,在这个意义上讲,动能定理比机械能守恒定律应用更广泛更普遍.
三、巩固练习
1.如图所示,桌面高度为h,质量为m的小球从离桌面高H处自由落下,不计空气阻力,假设桌面处的重力势能为零,小球落到地面前的瞬间的机械能应为
A.mgh B.mgH C.mg(H+h) D.mg(H-h)
2.一根长为L的均匀绳索一部分放在光滑水平面上,长为
L1的另一部分自然垂在桌面下,如图所示,开始时绳索静止,释放后绳索将沿桌面滑下,求绳索刚滑离桌面时的速度大小。
参考答案:
1.B 2.v=
四、小结
通过本节课的学习,我们知道了:
1.应用机械能守恒定律解题的基本步骤:
①根据题意,选取研究对象(物体或相互作用的物体系);
②分析研究对象在运动过程中所受各力的做功情况,判断是否符合机械能守恒的条件;
③若符合定律成立的条件,先要选取合适的零势能的参考平面,确定研究对象在运动过程的初、末状态的机械能值;
④据机械能守恒定律列方程,并代入数值求解.
2.在只有重力和弹力做功的条件下,可应用机械能守恒定律解题,也可以用动能定理解题,这两者并不矛盾,前者往往不分析过程的细节而使解答过程显得简捷,但后者的应用更具普遍性.
五、作业
1.课本 P150 练习六③④⑤
2.思考题
(1)物体在平衡力作用下运动
A.机械能一定不变
B.如果物体的势能有变化,则机械能一定有变化
C.如果物体的动能不变,则势能一定变化
D.如果物体的势能有变化,机械能不一定有变化
(2)一个人站在高h处,抛出一个质量为m的物体,物体落地时的速度为v,人对物体做的功为
A.mgh B.mgh+
mv2
C.
D.
(3)以10 m/s的速度将质量是m的物体竖直向上抛出,若空气阻力忽略,g=10 m/s2,则①物体上升的最大高度是多少?
②上升到何处时重力势能和动能相等.
(4)如图所示:小球A用不可伸长的轻绳悬于O点,在O点的正下方有一固定的钉子B,OB=d,初始时小球A(与O同水平面)无初速释放,绳长为L,为使球能绕B点做圆周运动,试求d的取值范围.
(5)如图所示,A、B是两个质量相同的物体,用轻绳跨过定滑轮相连,先用手托住B,此时A、B的高度差为h,使B无初速释放,斜面倾角为θ,一切摩擦均不计,试求A、B运动到同一水平面上时速率是多少?

(6)如图所示,有一质量为M的静止小车,在光滑
水平轨道上,小车的光滑水平面与光滑圆周导轨相切,导轨半径为R,其所在的竖直平面与小车将发生的运动平行,一质量为m的小球以某一水平速度v0进入圆周轨道,当小球通过圆周导轨的最高点时,小球对导轨刚好没有压力,求小球进入小车时的速度v0.
参考答案:
(1)B(2)D(3)①5m②2.5m(4)
L≤d<L
(5)v=
(6)v0=
六、板书设计

教学设计示例(三)
机械能守恒定律应用
一、知识目标
1.在学习机械能守恒定律、熟练应用机械能守恒定律的基础上,通过研究有重力、弹簧弹力以外其它力做功的情况,学习处理有关功能关系这类问题的方法。
2.对功和能及其关系的理解和认识是本章教学的重点内容,本节教学是本章教学内容的总结。通过本节教学使学生更加深入理解功和能的关系,明确物体机械能变化的规律,并能应用它处理有关问题,加深力学部分知识的理解为以后的学习打下基础。
二、重点、难点分析
1.重点是使学生认识和理解物体机械能变化的规律,掌握应用这一规律解决问题的方法。在此基础上,深入理解和认识功和能的关系。
2.本节教学实质是渗透功能原理的观点,在教学中不必出现功能原理的名称。
3.对功、能概念及其关系的认识和理解,不仅是本节、本章教学的重点和难点,也是中学物理教学的重点和难点之一。
三、教具
投影仪、投影片等。
四、主要教学过程
(一)引入新课
结合复习机械能守恒定律以及应用引入新课。
提出问题:
1.机械能守恒定律的内容及物体机械能守恒的条件各是什么?
在学生正确回答后,教师进一步利用题目练习提问并引导学生思考。
2.如果有重力、弹簧弹力以外其它力对物体做功,物体的机械能如何变化?物体机械能的变化和哪些力做功有关呢?物体机械能变化的规律是什么呢?
教师提出问题之后引起学生的注意,并不要求学生回答。
在此基础上教师明确指出:
机械能守恒是有条件的。大量现象表明,许多物体的机械能是不守恒的。例如由静止启动的车辆、起飞或降落的飞机、打入木块的子弹等等。
分析上述物体机械能不守恒的原因;由静止启动的车辆机械能增加,这是由于牵引力(重力、弹力以外的力)对车辆做正功;射入木块后子弹的机械能减少,是由于阻力对子弹做负功。
重力和弹力以外的其它力对物体做功和物体机械能变化有什么关系,是本节要研究的中心问题。
(二)教学过程设计
提出问题:下面我们根据已掌握的动能定理和有关机械能的知识,分析物体机械能变化的规律。
1.物体机械能的变化
问题:质量m的小滑块受平行斜面向上拉力F作用,沿斜面从高度
上升到高度
处,其速度由
增大到
,如图所示,分析此过程中滑块机械能的变化与各力做功的关系。
引导学生根据动能定理进一步分析、探讨小滑块机械能变化与做功的关系。归纳学生分析,明确:
选取斜面底端所在平面为参考平面。根据动能定理
,
有
由几何关系,有![]()
故 ![]()
![]()
即 ![]()
引导学生理解上式的物理意义。在学生回答的基础上教师明确指出:
(1)有重力、弹簧弹力以外的其它力对物体做功,是使物体机械能发生变化的原因;
(2)重力和弹簧弹力以外其它力对物体所做功的代数和,等于物体机械能的变化量。这是物体机械能变化所遵循的基本规律。
2.对物体机械能变化规律的进一步认识
(1)物体机械能变化规律可以用公式表示为
或![]()
其中
表示除重力、弹簧弹力以外其它力做功的代数和,
分别表示物体初、末状态的机械能,
表示物体机械能变化量。
(2)对
进一步分析可知:
(ⅰ)当
时,
,物体机械能增加;当
时,
,物体机械能减少。
(ⅱ)若
,则
,即物体机械能守恒。由此可以看出,
是包含了机械能守恒定律在内的、更加普遍的功和能关系的表达式。
(3)重力、弹簧弹力以外其它力做功的过程,其实质是其它形式的能与机械能相互转化的过程。
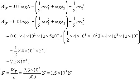
例 1.质量
kg的汽车开上一山坡。汽车沿山坡每前进100m,其高度升高2m。上坡时汽车速度为5m/s,沿山坡行驶500m后速度变为10m/s。已知车行驶中所受阻力大小是车重的0.01倍,试求:(1)此过程中汽车所受牵引力做功多少?(2)汽车所受平均牵引力多大?取
。本题要求用物体机械能变化规律求解。
引导学生思考与分析:
(1)如何依据
求解本题?应用该规律求解问题时应注意哪些问题?
(2)用
求解本题,与应用动能定理
有什么区别?
归纳学生分析的结果,教师明确给出例题求解的主要过程:
取汽车开始时所在位置为参考平面,应用物体机械能变化规律
解题时,要着重分析清楚重力、弹力以外其它力对物体所做的功,以及此过程中物体机械能的变化。这既是应用此规律解题的基本要求,也是与应用功能定理解题的重要区别。

例2. 将一个物体以100J的初动能从地面竖直向上抛出。物体向上运动经过某一位P时,它的动能减少了80J,此时其重力势能增加了60J。已知物体在运动中所受空气阻力大小不变,求小物体返回地面时动能多大?
引导学生分析思考;
(1)运动过程中(包括上升和下落),什么力对小物体做功?做正功还是做负功?能否知道这些力对物体所做功的比例关系?
(2)小物体功能、重力势能以及机械能变化的关系如何?每一种形式能量的变化,应该用什么力所做的功量度?
归纳学生分析的结果,教师明确指出:
(1)运动过程中重力和阻力对小物体做功。
(2)小物体动能变化用重力、阻力做功的代数和量度;重力势能的变化用重力做功量度;机械能的变化用阻力做功量度。
(3)由于重力和阻力大小不变,在某一过程中各力做功的比例关系可以通过相应能量的变化求出。
(4)根据物体的机械能
,可以知道经过P点时,物体动能变化量大小
J,机械能变化量大小
J。
例题求解主要过程:
上升经过P点时,![]()
上升到达最高点时,
J,在同一运动过程中,相应能量变化的比例相同,
即 ![]()
上升到最高点时,物体机械能损失量为
J
由于物体所受阻力大小不变,下落过程中物体损失的机械能与上升过程相同,因此下落返回地面时,物体的动能大小为
J
本例题小结:
通过本例题分析,应该对功和能量变化有更具体的认识,同时应注意学习综合运用动能定理和物体机械能变化规律解决问题的方法。
思考题(留给学生课后练习):
(1)运动中物体所受阻力是其重力的几分之几?
(2)物体经过P点后还能上升多高?是前一段高度的几分之几?
(三)课堂小结
功和能
(1)功和能是不同的物理量。能是表征物理运动状态的物理量,物体运动状态发生变化,物体运动形式发生变化,物体的能都相应随之变化;做功是使物体能量发生变化的一种方式,物体能量的变化可以用相应的力做功量度。
(2)力对物体做功使物体能量发生变化,不能理解为功变成能,而是通过力做功的过程,使物体之间发生能量的传递与转化。
(3)力做功可以使物体间发生能的传递与转化,但能的总量是保持不变的。自然界中,物体的能量在传递、转化过程中总是遵循能量守恒这一基本规律的。
五、说明
本节内容的处理应根据学生具体情况而定,学生基础较好,可介绍较多内容;学生基础较差,不一定要求应用物体机械能变化规律解题,只需对功和能关系有初步了解即可。