设为首页
加入收藏
动能、动能定理教学设计(一)
(一)
一、素质教育目标
(一)知识教学点
1.理解动能的概念
2.知道动能的定义式和单位
3.熟练确定物体的动能值
(二)能力训练点
1.用演绎推理的方法得出动能的表达式
2.简化物理条件,通过确定与做功有密切联系的物理量的过程,培养学生研究物理问题的能力
(三)德育渗透点
1.通过演绎推理的过程,培养对科学研究的兴趣。
2.尊重科学、尊重事实,养成按科学规律办事的习惯。
(四)美育渗透点
通过对动能和动能定理的演绎推理,使学生从中领略到物理等自然学科中所蕴含的严谨的逻辑关系,反映了自然界的真实美。
二、学法引导
通过教师利用学生的知识,通过演绎推论从理论上来论证动能和动能定理的表达形式,并组织学生进行辨析、提高认识。
三、重点难点疑点及解决办法
1.重点
1.明确动能的概念
2.计算动能的大小
2.难点
理解动能的来龙去脉,领会动能和动量的联系和区别。
3.疑点
为什么动能是表示力对物体的空间作用效果,是反映物体运动的状态量?
4.解决办法
(1)在功能的关系的基础上演绎推理
(2)列表比较,针对学生认识上的薄弱环节举实例分析
四、课时安排
1课时
五、教具学具准备
斜面,滑块一块,铁球两个(质量不相同)
六、师生互动活动设计
1.教师通过演绎推理,导出公式,通过例题分析,引导学生对概念再认识。
2.学生通过演绎推理,导出公式,通过例题分析,引导学生对概念再认识。
七、教学步骤
(一)明确目标
(略)
(二)整体感知
学生在初中就知道了动能的初步概念,在此基础上,提问研究课题,利用前期学过的运动定律,运动学,功和能的知识进行计算,推理,得到动能的表达式,从而明确动能这个物理量的内涵,掌握动能的计算。
(三)重点、难点的学习与目标完成过程
(导入新课)
上学生举出事例说明运动的物体具有能量,并归纳出由于物体的运动而具有的能叫动能,提出研究课题,功能的大小如何确定?
(课新教学)
先看一个具体的问题:质量不同的三个物体放置在光滑的水平面上,在不同的水平作用下,通过不同的位移,物体的质量、受力大小、位移列表如下,由三个同学根据表中的列项演算、填空:
|
1 |
2 |
3 |
|
|
物体质量m/kg 所受水平力F/N 位移大小S/m 水平力做功W/J 物体加速度 物体末速度 物体末动量 物体 |
4 10 4 (40) (2.5) (2 (8 (40) |
4 20 4 (80) (5) (2 (8 (80) |
10 20 2 (40) (2) (2 (20 (40) |
学生对照表中的数值回答以下问题:
(l)表中与物体的运动状态相关的物理量有哪些?
物体速度、物体动量,物体的
值
(2)从表中的数值分析,既与水平力做功,又与物体运动状态密切相关的物理量是什么?
从表中数值看出:不管物体的质量多少、水平力的大小、位移的长短、只要力做功相同,物体的
值也相同,做功的值始终等于物体的
值,物体的
值就叫动能,用
表示.
1.动能 ![]()
(l)动能表达式的推导
可设计如下理想化的过程模型,质量为m的物体置放在光滑的水平面上,在水平恒力F的作用下,由静止从a点运动到b点,已知
,物体至b点的速度为v,如图所示:

从以上所述的过程可知:物体在力的作用下,作匀加速运动,由于水平面光滑,只有物体的动能发生变化,据初中的动能定义,物体开始静止,其动能为0,后来物体的动能变为
,又根据功是能量转化的量度可得:
![]()
由功的定义: ![]()
据运动定律: ![]()
据运动学公式: ![]()
联立解得: ![]()
用实验来体验一下,物体的动能与什么因素有关.
演示实验:
①把滑块放在斜面的水平部分,让铁球从斜面上不同高度滑下,与滑块碰撞并推动滑块做功,因球下滑高度不同,与滑块相撞时速度不同,对滑块做功也不相同,可定性看出,球的动能与速度有关,随速度增加而增大.
②让质量不同的铁球和木球,从斜面上同一高度滑下,与水平面上的滑块相撞并推动滑块做功,分析实验结果,也可得知,球的动能与球的质量有关;随球质量增加而增大.
(2)动能是标量,无负值,其单位与功的单位相同.
![]()
[例] 质量为2kg的石块作自由落体运动,求石块在第1s末,第2s末的动能是多少?
解析:先求出第1s末和第2s末的速度再求出动能值,明确变速率运动的物体动能是时刻变化的.
或者未出石块1s内和2s内的位移,再确定重力做功的对应值,重力做功的值就是石块动能的增加量,即石块的动能值(因为石块的初动能为0)从而进一步理解功是能量转化的量度.
动能是状态量,动量也是状态量,它们有什么区别呢?
2.动能与动量的区别
(l)定义表达式不同:动能
;
动量
,单位也不同,动能为J,动量为 kg·m/s
(2)确定要素不同,动能是标量,只有大小,动量是矢量,由大小和方向共同决定.
(3)增量计算不同,动能的增量计算用代数法,用末动能值减初动能值.动量的增量计算用矢量法,即平行四边形法则运算.
思考以下两个问题
(l)做匀速圆周运动的物体,动能是否变?动量是否变?为什么?
(2)动能变化了,动量一定变化,动量变化了,动能不一定变化,这句话正确吗?为什么?
(四)总结扩展
1.动能是物体运动的状态量,其大小由物体的质量和速度大小共同决定,它又是一个相对量,因为速度的确定与参照系的选取有关;它还是一个标量,只有大小,没有方向,只有正值,没有负值.
2.动能是与力做功相联系的物理量,而动量是与力的冲量相联系的物理量,明确它们之间的联系和区别,理解和掌握与它们有关的定理、定律,是解决力学问题的重要环节.
八、布置作业
P143练习三(1)(2)
九、板书设计
1.动能
![]()
(l)动能表达式的推导
(2)功能是标量、无负值、其单位与功的单位相同
2.动能与动量的区别
(l)定义表达式不同
(2)确定要素不同
(3)增量计算不同
动能定理教学设计(二)
一、教学目标
1、理解动能的概念:
(1)知道什么是动能.
(2)由做功与能量公式得出动能公式Ek=mv2/2,知道在国际单位制中动能的单位是焦耳(J);动能是标量,是状态量.
(3)正确理解和运用动能公式分析、解答有关问题.
2、掌握动能定理:
(1)掌握外力对物体所做的总功的计算,理解“代数和”的含义.
(2)理解和运用动能定理.
二、重点、难点分析
1、本节重点是对动能公式和动能定理的理解与应用.
2、动能定理中总功的分析与计算在初学时比较困难,应通过例题逐步提高学生解决该问题的能力.
3、通过动能定理进一步加深功与能的关系的理解,让学生对功、能关系有更全面、深刻的认识,这是本节的较高要求,也是难点.
三、教具
投影仪与幻灯片若干.
四、主要教学过程
(一)引入新课
初中我们曾对动能这一概念有简单、定性的了解,在学习了功的概念及功和能的关系之后,我们再进一步对动能进行研究,定量、深入地理解这一概念及其与功的关系.
(二)教学过程设计
1、什么是动能?
它与哪些因素有关?这主要是初中知识回顾,可请学生举例回答,然后总结作如下板书:
物体由于运动而具有的能叫动能,它与物体的质量和速度有关.
下面通过举例表明:运动物体可对外做功,质量和速度越大,动能越大,物体对外做功的能力也越强.所以说动能是表征运动物体做功的一种能力.
2、动能公式
动能与质量和速度的定量关系如何呢?我们知道,功与能密切相关.因此我们可以通过做功来研究能量.外力对物体做功使物体运动而具有动能.下面我们就通过这个途径研究一个运动物体的动能是多少.
用投影仪打出问题,引导学生回答:
光滑水平面上一物体原来静止,质量为m,此时动能是多少?(因为物体没有运动,所以没有动能).在恒定外力F作用下,物体发生一段位移s,得到速度v(如图1),这个过程中外力做功多少?物体获得了多少动能?
![]()
由于外力做功使物体得到动能,所以mv2就是物体获得的动能,这样我们就得到了动能与质量和速度的定量关系:
物体的动能等于它的质量跟它的速度平方的乘积的一半.用Ek表示动能,则计算动能的公式为:
![]()
由以上推导过程可以看出,动能与功一样,也是标量,不受速度方向的影响.它在国际单位制中的单位也是焦耳(J).一个物体处于某一确定运动状态,它的动能也就对应于某一确定值,因此动能是状态量.
下面通过一个简单的例子,加深同学对动能概念及公式的理解.
试比较下列每种情况下,甲、乙两物体的动能:(除下列点外,其他情况相同)
①物体甲的速度是乙的两倍;②物体甲向北运动,乙向南运动;
③物体甲做直线运动,乙做曲线运动;④物体甲的质量是乙的一半.
在学生得出正确答案后总结:动能是标量,与速度方向无关;动能与速度的平方成正比,因此速度对动能的影响更大.
3、动能定理
(1)动能定理的推导
将刚才推导动能公式的例子改动一下:假设物体原来就具有速度v1,且水平面存在摩擦力f,在外力F作用下,经过一段位移s,速度达到v2,如图2,则此过程中,外力做功与动能间又存在什么关系呢?

外力F做功:W1=Fs
摩擦力f做功:W2=-fs
![]()
![]()
可见,外力对物体做的总功等于物体在这一运动过程中动能的增量.其中F与物体运动同向,它做的功使物体动能增大;f与物体运动反向,它做的功使物体动能减少.它们共同作用的结果,导致了物体动能的变化.
将上述问题再推广一步:若物体同时受几个方向任意的外力作用,情况又如何呢?引导学生推导出正确结论并板书:
外力对物体所做的总功等于物体动能的增加,这个结论叫动能定理.
用W总表示外力对物体做的总功,用Ek1表示物体初态的动能,用Ek2表示末态动能,则动能定理表示为:
W总=Ek2-Ek1=ΔEk
(2)对动能定理的理解
动能定理是学生新接触的力学中又一条重要规律,应立即通过举例及分析加深对它的理解.
a、对外力对物体做的总功的理解
有的力促进物体运动,而有的力则阻碍物体运动.因此它们做的功就有正、负之分,总功指的是各外力做功的代数和;
又因为W总=W1+W2+…=F1·s+F2·s+…=F合·s,所以总功也可理解为合外力的功.
b、对该定理标量性的认识
因动能定理中各项均为标量,因此单纯速度方向改变不影响动能大小.如匀速圆周运动过程中,合外力方向指向圆心,与位移方向始终保持垂直,所以合外力做功为零,动能变化亦为零,并不因速度方向改变而改变.
c、对定理中“增加”一词的理解
由于外力做功可正、可负,因此物体在一运动过程中动能可增加,也可能减少.因而定理中“增加”一词,并不表示动能一定增大,它的确切含义为末态与初态的动能差,或称为“改变量”.数值可正,可负.
d、对状态与过程关系的理解
功是伴随一个物理过程而产生的,是过程量;而动能是状态量.动能定理表示了过程量等于状态量的改变量的关系.
4、例题讲解或讨论
主要针对本节重点难点——动能定理,适当举例,加深学生对该定理的理解,提高应用能力.
例1、一物体做变速运动时,下列说法正确的是 [ ]
A、合外力一定对物体做功,使物体动能改变
B、物体所受合外力一定不为零
C、合外力一定对物体做功,但物体动能可能不变
D、物体加速度一定不为零
此例主要考察学生对涉及力、速度、加速度、功和动能各物理量的牛顿定律和动能定理的理解.只要考虑到匀速圆周运动的例子,很容易得到正确答案B、D.
例2、在水平放置的长直木板槽中,一木块以 6.0米/秒的初速度开始滑动.滑行4.0米后速度减为4.0米/秒,若木板槽粗糙程度处处相同,此后木块还可以向前滑行多远?
此例是为加深学生对负功使动能减少的印象,需正确表示动能定理中各物理量的正负.解题过程如下:
设木板槽对木块摩擦力为f,木块质量为m,据题意使用动能定理有:

二式联立可得:s2=3.2米,即木块还可滑行3.2米.
此题也可用运动学公式和牛顿定律来求解,但过程较繁,建议布置学生课后作业,并比较两种方法的优劣,看出动能定理的优势.
例3、如图3,在水平恒力F作用下,物体沿光滑曲面从高为h1的A处运动到高为h2的B处,若在A处的速度为vA,B处速度为vB,则AB的水平距离为多大?

可先让学生用牛顿定律考虑,遇到困难后,再指导使用动能定理.
A到B过程中,物体受水平恒力F,支持力N和重力mg的作用.三个力做功分别为Fs,0和-mg(h2-h1),所以动能定理写为:
![]()
![]()
从此例可以看出,以我们现在的知识水平,牛顿定律无能为力的问题,动能定理可以很方便地解决,其关键就在于动能定理不计运动过程中瞬时细节.
通过以上三例总结一下动能定理的应用步骤:
(1)明确研究对象及所研究的物理过程.
(2)对研究对象进行受力分析,并确定各力所做的功,求出这些力的功的代数和.
(3)确定始、末态的动能.(未知量用符号表示),根据动能定理列出方程:
W总=Ek2—Ek1
(4)求解方程、分析结果
(三)课堂小结
1、对动能概念和计算公式再次重复强调.
2、对动能定理的内容,应用步骤,适用问题类型做必要总结.
3、通过动能定理,再次明确功和动能两个概念的区别和联系、加深对两个物理量的理解.
五、说明
1、由于计算功时质点的位移和动能中的速度都与参照系有关.因此对学习基础较好的学生,可以补充讲解功和动能对不同惯性系的相对性和动能定理的不变性.如时间较紧.可在教师适当提示下,让学生在课下思考解答
2、一节课不可能对动能定理的应用讲解的非常全面、深刻,但一定要强调公式中各物理量的正确含义,因为动能定理实质上就是能的转化和守恒定律的一种表达形式,掌握好动能定理,以后才能顺利地深入研究动能关系、机械能守恒定律及能的转化和守恒定律.如果一开始就概念不清,很可能影响以后知识的学习.
动能定理教学设计(三)
第四节 动能 动能定理
●本节教材分析
动能定理研究的是质点的功能关系,是本章的重点.
本节在讲述动能和动能定理时,没有把二者分开讲述,而是以功能关系为线索,同时引入了动能的定义式和动能定理,这样叙述,思路简明,能充分体现功能关系这一线索,同时考虑到初中已经学过动能的概念,这样叙述,学生容易接受.
通过本节的学习,应使学生理解动能定理的推导过程.清楚动能定理的适用条件,通过对比分析使学生体会到应用动能定理解题较牛顿运动定律与运动学公式解题的不同点:即运用动能定理解题由于不涉及物体运动过程中的加速度和时间,因此用它来处理问题有时比较方便.
●教学目标
一、知识目标
1.理解动能的概念.
2.知道动能的定义式,会用动能的定义式进行计算.
3.理解动能定理及其推导过程,知道动能定理的适用范围.
二、能力目标
1.运用演绎推导方式推导动能定理的表达式.
2.理论联系实际,培养学生分析问题的能力.
三、德育目标
通过动能定理的演绎推导,培养学生对科学研究的兴趣.
●教学重点
1.动能的概念.
2.动能定理及其应用.
●教学难点
对动能定理的理解.
●教学方法
推理归纳法、讲授法、电教法.
●教学用具
投影片、CAI课件、导轨、物块(或小球两个).
●教学过程
用投影片出示本节课的学习目标.
1.理解动能的概念,会用动能的定义式进行计算.
2.理解动能定理及其推导过程.
3.知道动能定理的适用条件,会用动能定理进行计算.
学习目标完成过程.
一、引入新课
1.问:什么是物体的动能?物体的动能与什么因素有关?
2.学生答:
物体由于运动而具有的能叫动能;
物体的动能跟物体的质量和速度有关系.
3.引入
那么,物体的动能跟物体的质量速度有什么关系呢?本节课我们来研究这个问题.
[板书课题:动能、动能定理]
二、新课教学
(一)1.演示实验:(可利用媒体资料中的动画)
①介绍实验装置:让滑块A从光滑的导轨上滑下,与木块B相碰,推动木块做功.
②演示并观察现象

a.让同一滑块从不同的高度滑下,可以看到:高度大时滑块把木块推得远,对木块做的功多.
b.让质量不同的滑块从同一高度滑下,可以看到:质量大的滑块把木块推得远,对木块做的功多.
③从功能关系定性分析得到:
物体的质量越大,速度越大,它的动能就越大.那么动能与物体的质量和速度之间有什么定量关系呢?
(二)1.用投影片出示下列思考题:
一架飞机在牵引力的作用下(不计阻力),在起飞跑道上加速运动,速度越来越大,问:
①飞机的动能如何变化?为什么?
②飞机的动能变化的原因是什么?
③牵引力对飞机所做的功与飞机动能的变化之间有什么关系?
2.学生讨论并回答
①在起飞过程中,飞机的动能越来越大,因为飞机的速度在不断增大.
②由于牵引力对飞机做功,导致飞机的动能不断增大.
③据功能关系:牵引力做了多少功,飞机的动能就增大多少.
3.渗透研究方法:由于牵引力所做的功和动能变化之间的等量关系,我们可以根据做功的多少,来定量地确定动能.
4.出示思考题二:
如图所示,一个物体的质量为m,初速度为v1,在与运动方向相同的恒力F的作用下发生一段位移s,速度增大到v 2 ,则:
①力F对物体所做的功多大?(W=Fs)
②物体的加速度多大?a= ![]()
③物体的初速、末速、位移之间有什么关系? ![]()
④结合上述三式你能综合推导得到什么样的式子?
⑤在学生推导的过程中挑选并在实物投影仪上评析:
⑥针对学生推理得到的表达式,教师分析概括:合力F所做的功等于
这个物理量的变化;又据功能关系,F所做的功等于物体动能的变化,所以在物理学中就用
这个量表示物体的动能.
⑦讲述动能的有关问题:
a.物体的动能等于物体质量与物体速度的二次方的乘积的一半.
b.公式E k = ![]()
c.动能是标量
d.动能的单位:焦(J)
(三)动能定理
1.我们用E k 来表示物体的动能,那么刚才得到的表达式可以改写为:W=E k 2 -E k 1
2.学生叙述上式中各个字母所表示的物理量:
合力对物体所做的功;
物体的末动能;
物体的初动能.
3.请学生用语言把上式表达式叙述出来.
合力对物体所做的功等于物体动能的变化.
4.教师总结
通过刚才的分析讨论:我们知道合力所做的功等于物体动能的变化,这个结论叫做动能定理.
5.讨论
①当合力对物体做正功时,物体动能如何变化?
②当合力对物体做负功时,物体动能如何变化?
学生答:
当合力对物体做正功时,末动能大于初动能,动能增加;
当合力对物体做负功时,末动能小于初动能,动能减少.
6.教师讲解动能定理的适用条件
动能定理既适合于恒力做功,也适合于变力做功,既适用于直线运动,也适用于曲线运动.
(四)动能定理的应用
1.用多媒体出示下列例题,并用CAI课件模拟题中的物理情景:
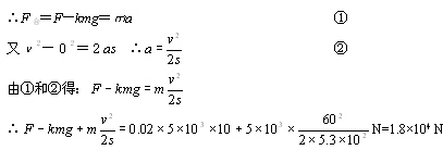
一架喷气式飞机,质量m=5×103 kg,起飞过程中从静止开始滑跑的路程为s=5.3×102m时,达到起飞速度v=60m/s,在此过程中飞机受到的平均阻力是飞机重量的0.02倍(k=0.02),求飞机受到的牵引力.
注意:不要限制学生的解题思路
2.学生解答上述问题
3.抽查有代表性的解法在实物投影仪上展示:
解法一:以飞机为研究对象,它做匀加速直线运动受到重力、支持力、牵引力和阻力作用.

解法二:以飞机为研究对象,它受到重力、支持力、牵引力和阻力作用,这四个力做的功分别为W G =0,W 支 =0,W 牵 =Fs,W
阻 =-kmgs.据动能定理得:Fs-kmgs=
代入数据,解得F=1.9×104
N
4.教师讲:上边两种解法分别是:解法一是用牛顿第二定律和匀变速直线运动的公式求解的,而解法二是用动能定理求解的,那么同学们比较一下,这两种解法有什么区别呢?
5.学生讨论比较后得到:
解法一采用牛顿运动定律和匀变速直线运动的公式求解,要假定牵引力是恒力,而实际中牵引力不一定是恒力.
解法二采用动能定理求解.因为动能定理适用于变力,用它可以处理牵引力是变力的情况.
而且运用动能定理解题不涉及物体运动过程中的加速度和时间,因为用它来处理问题时比较方便.
6.学生阅读课文例题的解答过程,概括用动能定理解题的方法和步骤.
学生:①确定研究对象
②分析物体的受力情况,明确各个力是否做功,做正功还是做负功,进而明确合外力的功.
③明确物体在始末状态的动能.
④根据动能定理列方程求解.
三、巩固练习
1.改变汽车的质量和速度,都能使汽车的动能发生改变,在下列情况下,汽车的动能各是原来的几倍.
a.质量不变,速度增大到原来的2倍.
b.速度不变,质量增大到原来的2倍.
c.质量减半,速度增大到原来的4倍.
d.速度减半,质量增大到原来的4倍.
2.以大小相等的速度分别向竖直方向和水平方向抛出两个质量相等的物体,抛出时两个物体的动能是否相同?动量是否相同?
3.质量10 g,以0.8 km/s飞行的子弹,质量60 kg,以10 m/s的速度奔跑的运动员,二者相比,哪一个的动能大?哪一个的动量大?
参考答案:
1.a.动能是原来的4倍. b.动能是原来的2倍.
c.动能是原来的8倍. d.动能等于原来的动能.
2.动能相同,动量不相同.
3.子弹的动能大,运动员的动量大
四、小结
1.物体由于运动而具有的能叫动能,动能可用E k 来表示,物体的动能等于物体的质量与物体速度的二次方的乘积的一半(
)
2.动能是标量,状态量.
3.动能定理是根据牛顿第二定律F=ma和运动学公式
推导出来的.
4.动能定理中所说的外力,既可以是重力、弹力、摩擦力、也可以是任何其他的力,动能定理中的W是指所有作用在物体上的外力的合力的功.
5.动能定理的表达式虽是在物体受恒力作用且做直线运动的情况下得出的,但对于外力是变力,物体做曲线运动的情况同样适用.
五、作业
六、板书设计
