设为首页
加入收藏
功和能教学设计方案
一、素质教育目标
(一)知识教学点
1.知道能量的定义,知道对应于物质不同的运动形式具有不同的能量。
2.理解不同能量之间的转化,知道转化中总能量守恒。
3.理解功是能量转化的量度。
(二)能力训练点
1.正确理解功和能之间区别和联系。
2.从能量及能量转化的角度来分析物体的运动,解决有关问题。
(三)德育渗透点
运用辩证唯物主义的观点和科学的态度,从功能角度探索,研究,发现自然规律,并运用它服务于全人类。
(四)美育渗透点
通过学习对实例的列举和实验的操作,把学习欣赏科学成果和自己的实践相结合可以进一步提高学生的欣赏能力和创造美的能力。
二、学法引导
1.组织学生列举、涉及功与能的现象并做初步讨论。
2.通过讨论和实验演示来归纳能的转化和守恒定律。
3.通过练习来提高学生联系实际的能力。
三、重点·难点·疑点及解决办法
1.重点
(1)理解功和能的关系
(2)知道能量的转化用做功来量度
2.难点
在具体的物理现象中能确认具体能量的转化情况,能用做功来定量地反映这种转化.
3.疑点
功是能吗?功可以转化为能吗?能转化过程中一定要做功吗?做功的过程一定伴随着能量转化吗?
4.解决办法
(1)联系实际,观察生活生产中的能量转化现象,加深理解功能关系.
(2)做好演示实验,直接感受能量的转化过程.
四、课时安排
1课时
五、教具学具准备
弹簧、钩码、走马灯、蜡烛、支架、能量转化录像.
六、师生互动活动设计
1.教师做好演示实验,引导学生对实例分析,设计相关问题.
2.学生通过讨论,观看实验和录像,并通过例题演练提高认识.
七、教学步骤
(一)明确目标
(略)
(二)整体感知
能的转化现象在自然界是普遍存在的,要充分联系实际,针对具体的能的转化过程进行分析,确切理解功能关系,把对能量转化的分析作为解决物理问题的重要方法之一.
(三)重点、难点的学习与目标完成过程
【导入新课】
初中同学学过功和能的一些知识,对功和能有一个简单的认识并能定性地分析某些物理现象,前二节我们较深入地探讨了功的概念、功的计算,现在将进一步研究能的基本知识以及功和能的关系.
1.能的概念
(1)能的定义:一个物体能够对外做功则这个物体就具有能
由学生举出自然界中具有能量的物体的实例,如流动的河水,飞行的子弹,自由下落的重物,压缩的弹簧,燃烧的焰火,高压的气体……
(2)物质的不同运动形式对应着不同的能
演示:弹簧吊挂物体,一端固定在铁架上,用力下拉物体,使弹簧伸长后释放,物体将向上运动,弹簧对物体做功,说明形变的弹簧有能量,此能量叫弹性势能.
演示:点燃走马灯的蜡烛后,灯的一部分旋转起来,这个现象中,有些什么能?能如何转化?首先是蜡烛的化学能经燃烧释放出来,加热空气,空气分子运动加剧,转化为空气分子的内能,热空气上升又带动走马灯旋转,空气的部分内能又转化为走马灯的机械能.由此看来,自然界的能多种多样,除上述的能以外,还有电能、光能、原子能、生物能……同时它们之间也可以互相转化。
(3)各种不同形式的能量可以相互转化,而且在转化过程中守恒
观看录像,分析展示的各种现象中,能量存在和转化情况.如早晨太阳出来,照耀树林,太阳能经植物的光合作用转化为生物能……傍晚,电灯亮了,电能转化为热能、光能等等.在能的转化中,能保持守恒.
在能的转化过程中,与之紧密相关的物理量是什么呢?是做功.
2.做功的过程是能量转化的过程.物体的能量发生变化,对外则表现为做了一定的功.
(1)做功使不同形式的能量发生转化.
人拉重物在光滑水平面上由静止而运动,人对物体做功的过程中,人的生物能转化为物体的动能.
在水力发电厂中,水流对水轮机冲击,带动水轮机转动,从而带动发电机转动而做功,水流的机械能转化为电能.
火车前进而做功,是先把燃料油和煤的化学能转化为热能,经内燃机或蒸汽机又把热能转化为火车的机械能……
由此看来,能量互相转化要伴随着做功,但能量转化的多少如何来计算和确定呢?
(2)功是能量转化的量度.
运动员将质量为15kg的杠铃举高2米,他做了
J的功,则就有
J的生物能转化为杠铃的重力势能.
自然界中有各式各样的力,如电磁力、分子力、核力……它们做功的计算方式各不相同,但有一点是共同的,即做了多少功就有多少能量由一种形式转化为另一种形式.
功和能有着密切的联系,但它们之间有什么区别呢?
3.功和能
(1)能是物体运动状态决定的物理量,即状态量;而功则是和物体运动状态变化过程有关的物理量,是过程量、两者有着本质的区别。
(2)作功可以使物体具有的能量发生变化,而且物体能量变化大小是用做功的多少来量度.但功和能不能相互转化.
(四)总结、扩展
1.运用功和能的观点,能量转化规律是分析解决物理问题的重要方法和途径之一,要充分理解、逐步深化.
2.功是能量转化过程中的关键物理量,在今后的学习中要深刻领会各种力做功的特点,熟练掌握各种功的计算,明确各种不同的功所涉及到的有关能量的转化.
3.能的转化和守恒定律在力、热、电、光、原子等各个领域都有广泛应用,要注意掌握和运用.
八、布置作业
九、板书设计
1.能的概念
(1)能的定义
(2)物质的不同运动形式对应着不同的能
(3)不同形式的能可相互转化,而且在转化中保持守恒
2.做功的过程是能量转化的过程
(1)做功使不同形式的能发生转化
(2)功是能量转化的量度
3.功和能
(1)能是状态量,功是过程量
(2)功和能不能转化
第三节 功和能教学设计方案(老版)
●本节教材分析
本节讲述功和能之间的关系,属于过渡性的一节,目的在于阐述本章的基本线索,使学生知道如何定量地研究机械能,为后面两节定量地讲述能和重力势能做好准备.
在本节的教学中,要结合初中学过的知识,通过实例使学生理解做功的过程是能量转化的过程,做了多少功,就有多少能量发生转化,功是能量转化的量度,知道了功和能的这种关系,就可以通过做功的多少,定量地研究能量及其转化的问题,但是对于功和能的关系的认识要有一个过程,要通过本章的学习以及今后的学习,使学生逐步加深体会,这一节只要求有个初步理解就可以了.
●教学目标
一、知识目标
1.知道能量的定义,知道对应于不同的运动形式具有不同的能量.
2.知道物体能够对外做功是因为物体具有能量.
3.理解功是能量转化的量度.
4.理解不同能量之间的转化,知道转化中总能量守恒.
二、能力目标
1.能从能量转化的角度来分析物体的运动,解决有关能量问题.
2.知道功和能之间的区别和联系.
三、德育目标
通过学习功和能之间的关系,使学生了解事物之间是相互联系的,并学会从功能角度去探索自然规律.
●教学重点
1.理解功和能的关系.
2.知道能量的转化用做功来量度.
●教学难点
在具体的问题中如何得到能量的具体转化情况,并用做功来定量地反映这种转化.
●教学方法
实验法、举例法
●教学用具
投影片、CAI课件
●教学过程
首先用投影片出示本节课的学习目标:
1.理解功和能的关系 2.知道能量的转化用功来量度
学习目标完成过程
一、复习导入
1.初中我们学过能量守恒定律,同学们回忆一下该定律的内容:能量既不会消灭,也不会创生,它只会从一种形式转化为其他形式,或者从一个物体转移到另一个物体,而在转化和转移过程中,能的总量保持不变.
2.引入
初中我们已初步学会功和能的有关知识,对功和能有了一个简单的认识,并能定性地分析某些物理现象,本节课,我们进一步来研究能的基本知识以及功和能的关系.
二、新课教学
(一)能的概念
1.用多媒体展示下列物理情景,并把四幅图对比在同一画面上
①流动的河水冲走小石块.
②飞行的子弹穿过木板.
③自由下落的重物在地上砸了一个坑.
④压缩的弹簧把物体弹出去.
2.分析概括图片中流动的河水、飞行的子弹、下落的重物、压缩的弹簧都各自对物体做了功.
3.总结:一个物体能够对外做功,则这个物体具有能.(板书)
4.同学们结合生活,举些物体具有能量的例子.
张紧的弓能够做功,所以它具有能.
电动机通电后能够做功,它具有能.
打夯机能做功,它具有能.
流动的空气能做功,它具有能.
5.结合学生所举的例子总结:物质的不同运动形式对应着不同的能.例如:有形变的弹簧具有弹性势能,流动的空气具有动能等.
6.①演示:把弹簧固定在铁架台上,下端挂一物体,用力向下拉物体,使弹簧伸长后释放,物体将向上运动.
②分析:拉下物体,弹簧发生弹性形变具有弹性势能.
松手释放后,弹簧缩短,对物体做功使物体具有了动能,同时弹簧的弹性势能减小,即把弹性势能转化为动能.
③总结:各种不同形式的能量可以相互转化,而且在转化过程中守恒.
7.用多媒体展示几种现象,学生分析能量的转化情况.
①水冲击水轮发电机发电.机械能→电能
②太阳出来,照耀森林.太阳能→生物能
③傍晚,电灯亮了.电能→光能(内能)
过渡引言:上边我们分析了几个能量转化过程,并且在能量转化过程中与之紧密相关的是做功.那么:功和能之间到底有什么关系呢?
(二)功和能的关系
1.用多媒体展示下边几个过程
①人拉重物在光滑水平面上由静止而运动.
②在水力发电厂中,水流冲击水轮机,带动水轮机转动.
③火车在铁路上前进.
2.师生共同分析
①中人对重物做功的过程中,人的生物能转化为物体的动能.
在水力发电厂中,水流对水流机冲击,带动水轮机转动.从而带动发电机转动而做功,水流的机械能转化为电能.
火车前进而做功,把油和煤的化学能转化为内能,又把内能转化为火车的机械能.
在上述过程中,发生了能量转化,且都伴随着做功过程并板书,做功使不同形式的能量发生转化.
过渡:那么在能量转化中,能量的转化和所做的功之间有什么关系呢?
3.举例说明
①举重运动员把重物举起来,对重物做了功,重物的重力势能增加,同时,运动员消耗了体内的化学能,且运动员做了多少功,就有多少化学能转化为重力势能.
②被压缩的弹簧放开时把一个小球弹出去小球的动能增加,同时弹簧的弹性势能减小,且弹簧对小球做了多少功,就有多少化学能转化为重力势能.
类似的例子还很多,归纳得到:做了多少功,就有多少能量发生转化.板书:功是能量转化的量度.
过渡:通过上述分析:功和能之间有着密切的联系,那么,它们之间有什么不同呢?
4.老师概括功和能的不同
①功是和物体的运动过程有关的物理量,是一个过程量.能是和物体的运动状态有关的物理量,是一个状态量.
②做功可以使物体具有的能量发生变化,而且物体能量变化的大小是用做功的多少来量度的.但功和能不能相互转化.
三、巩固练习
1.关于功和能,下列说法正确的是
A.功就是能,功可以转化为能
B.做功越大,物体的能越大
C.能量转化中,做的功越多,能量转化越多
D.功是物体能量的量度
2.运动员将质量为150 kg的杠铃举高2米:
①运动员做了多少功?
②有多少化学能转化为杠铃的重力势能?
[1.C2.①3×103 J,②3×103 J]
四、小结
通过本节课的学习,我们知道了做功的过程就是能量转化的过程,并且做了多少功就有多少能量发生了转化,在以后的学习中,要注意运用功和能的观点、能的转化与守恒定律来分析和解决问题.
五、作业
(一)阅读课文,掌握功和能的关系
(二)思考题
1.一个质量分布均匀的长方形木块,放在粗糙的水平地面上,长为2a,宽为a,若要把它从图中所在的位置直立起来,外力至少要做多少功?
2.挂在竖直墙壁上的长1.80 m的画,画面质量为100 g,下面画轴质量为200 g,令将它沿墙缓慢卷起,g取10m/s2,需做_____J的功.
参考答案:
1.
2.45
六、板书设计

功和能教学设计示例(三)
一、教学目标
1.在学习机械能守恒定律的基础上,研究有重力、弹簧弹力以外其它力做功的情况,学习处理这类问题的方法。
2.对功和能及其关系的理解和认识是本章教学的重点内容,本节教学是本章教学内容的总结。通过本节教学使学生更加深入理解功和能的关系,明确物体机械能变化的规律,并能应用它处理有关问题。
3.通过本节教学,使学生能更加全面、深入认识功和能的关系,为学生今后能够运用功和能的观点分析热学、电学知识,为学生更好理解自然界中另一重要规律——能的转化和守恒定律打下基础。
二、重点、难点分析
1.重点是使学生认识和理解物体机械能变化的规律,掌握应用这一规律解决问题的方法。在此基础上,深入理解和认识功和能的关系。
2.本节教学实质是渗透功能原理的观点,在教学中不必出现功能原理的名称。功能原理内容与动能定理的区别和联系是本节教学的难点,要解决这一难点问题,必须使学生对“功是能量转化的量度”的认识,从笼统、肤浅地了解深入到十分明确认识“某种形式能的变化,用什么力做功去量度”。
3.对功、能概念及其关系的认识和理解,不仅是本节、本章教学的重点和难点,也是中学物理教学的重点和难点之一。通过本节教学应使学生认识到,在今后的学习中还将不断对上述问题作进一步的分析和认识。
三、教具
投影仪、投影片等。
四、主要教学过程
(一)引入新课
结合复习机械能守恒定律引入新课。
提出问题:
1.机械能守恒定律的内容及物体机械能守恒的条件各是什么?
评价学生回答后,教师进一步提问引导学生思考。
2.如果有重力、弹簧弹力以外其它力对物体做功,物体的机械能如何变化?物体机械能的变化和哪些力做功有关呢?物体机械能变化的规律是什么呢?
教师提出问题之后引起学生的注意,并不要求学生回答。在此基础上教师明确指出:
机械能守恒是有条件的。大量现象表明,许多物体的机械能是不守恒的。例如从车站开出的车辆、起飞或降落的飞机、打入木块的子弹等等。
分析上述物体机械能不守恒的原因;从车站开出的车辆机械能增加,是由于牵引力(重力、弹力以外的力)对车辆做正功;射入木块后子弹的机械能减少,是由于阻力对子弹做负功。
重力和弹力以外的其它力对物体做功和物体机械能变化有什么关系,是本节要研究的中心问题。
(二)教学过程设计
提出问题:下面我们根据已掌握的动能定理和有关机械能的知识,分析物体机械能变化的规律。
1.物体机械能的变化
问题:质量m的小滑块受平行斜面向上拉力F作用,沿斜面从高度
上升到高度
处,其速度由
增大到
,如图所示,分析此过程中滑块机械能的变化与各力做功的关系。

引导学生根据动能定理进一步分析、探讨小滑块机械能变化与做功的关系。归纳学生分
析,明确:
选取斜面底端所在平面为参考平面。根据动能定理
,有

由几何关系,有 ![]()
故 ![]()
![]()
即
![]()
引导学生理解上式的物理意义。在学生回答的基础上教师明确指出:
(1)有重力、弹簧弹力以外的其它力对物体做功,是使物体机械能发生变化的原因;
(2)重力和弹簧弹力以外其它力对物体所做功的代数和,等于物体机械能的变化量。这是物体机械能变化所遵循的基本规律。
2.对物体机械能变化规律的进一步认识
(1)物体机械能变化规律可以用公式表示为
或 ![]()
其中
表示除重力、弹簧弹力以外其它力做功的代数和,
分别表示物体初、末状态的机械能,
表示物体机械能变化量。
(2)对
进一步分析可知:
(ⅰ)当
时,
,物体机械能增加;当
时,
,物体机械能减少。
(ⅱ)若
,则
,即物体机械能守恒。由此可以看出,
是包含了机械能守恒定律在内的、更加普遍的功和能关系的表达式。
(3)重力、弹簧弹力以外其它力做功的过程,其实质是其它形式的能与机械能相互转化的过程。
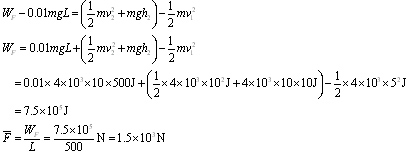
例 1. 质量
kg的汽车开上一山坡。汽车沿山坡每前进100m,其高度升高2m。上坡时汽车速度为5m/s,沿山坡行驶500m后速度变为10m/s。已知车行驶中所受阻力大小是车重的0.01倍,试求:(1)此过程中汽车所受牵引力做功多少?(2)汽车所受平均牵引力多大?取
。本题要求用物体机械能变化规律求解。
引导学生思考与分析:
(1)如何依据
求解本题?应用该规律求解问题时应注意哪些问题?
(2)用
求解本题,与应用动能定理
有什么区别?
归纳学生分析的结果,教师明确给出例题求解的主要过程:
取汽车开始时所在位置为参考平面,应用物体机械能变化规律
解题时,要着重分析清楚重力、弹力以外其它力对物体所做的功,以及此过程中物体机械能的变化。这既是应用此规律解题的基本要求,也是与应用功能定理解题的重要区别。
例2. 将一个物体以100J的初动能从地面竖直向上抛出。物体向上运动经过某一位P时,它的动能减少了80J,此时其重力势能增加了60J。已知物体在运动中所受空气阻力大小不变,求小物体返回地面时动能多大?
引导学生分析思考;
(1)运动过程中(包括上升和下落),什么力对小物体做功?做正功还是做负功?能否知道这些力对物体所做功的比例关系?
(2)小物体功能、重力势能以及机械能变化的关系如何?每一种形式能量的变化,应该用什么力所做的功量度?
归纳学生分析的结果,教师明确指出:
(1)运动过程中重力和阻力对小物体做功。
(2)小物体动能变化用重力、阻力做功的代数和量度;重力势能的变化用重力做功量度;机械能的变化用阻力做功量度。
(3)由于重力和阻力大小不变,在某一过程中各力做功的比例关系可以通过相应能量的变化求出。
(4)根据物体的机械能
,可以知道经过P点时,物体动能变化量大小
J,机械能变化量大小
J。
例题求解主要过程:
上升经过P点时, ![]()
上升到达最高点时,
J,在同一运动过程中,相应能量变化的比例相同,
即 ![]()
上升到最高点时,物体机械能损失量为
J
由于物体所受阻力大小不变,下落过程中物体损失的机械能与上升过程相同,因此下落返回地面时,物体的动能大小为
J
本例题小结:
通过本例题分析,应该对功和能量变化有更具体的认识,同时应注意学习综合运用动能定理和物体机械能变化规律解决问题的方法。
思考题(留给学生课后练习):
(1)运动中物体所受阻力是其重力的几分之几?
(2)物体经过P点后还能上升多高?是前一段高度的几分之几?
(三)课堂小结
本小结既是本节课的第3项内容,也是本章的小结。
3.功和能
(1)功和能是不同的物理量。能是表征物理运动状态的物理量,物体运动状态发生变化,物体运动形式发生变化,物体的能都相应随之变化;做功是使物体能量发生变化的一种方式,物体能量的变化可以用相应的力做功量度。
(2)力对物体做功使物体能量发生变化,不能理解为功变成能,而是通过力做功的过程,使物体之间发生能量的传递与转化。
(3)力做功可以使物体间发生能的传递与转化,但能的总量是保持不变的。自然界中,物体的能量在传递、转化过程中总是遵循能量守恒这一基本规律的。
五、说明
本节内容的处理应根据学生具体情况而定,学生基础较好,可介绍较多内容;学生基础较差,不一定要求应用物体机械能变化规律解题,只需对功和能关系有初步了解即可。