http://www.nyq.cn
 当前位置:首页-> 备课参考 -> 高一化学 -> 高一上学期 -> 第三章 物质的量

第一节 物质的量

作者:未知来源:中央电教馆时间:2006/4/26 22:23:06阅读:nyq
字号:|


教学设计方案一

课题:第一节 物质的量

第一课时

知识目标:
1.使学生了解物质的量及其单位,了解物质的量与微观粒子数之间的关系。
2.使学生了解学习物质的量这一物理量的重要性和必要性。
3.使学生了解阿伏加德罗常数的涵义。
能力目标:
培养学生的逻辑推理、抽象概括的能力。
培养学生的计算能力,并通过计算帮助学生更好地理解概念和运用、巩固概念。
情感目标:
  使学生认识到微观和宏观的相互转化是研究化学的科学方法之一。培养学生尊重科学的思想。
  调动学生参与概念的形成过程,积极主动学习。
  强调解题规范化,单位使用准确,养成良好的学习习惯。
教学重点:物质的量及其单位摩尔
教学难点:物质的量及其单位摩尔
教学方法:设疑-探究-得出结论
教学过程:
复习提问:“ ”方程式的含义是什么?

学生思考:方程式的含义有:宏观上表示56份质量的铁和32份质量的硫在加热的条件下反应生成88份质量的硫化亚铁。微观上表示每一个铁原子与一个硫原子反应生成一个硫化亚铁分子。
导入56g铁含有多少铁原子?20个铁原子质量是多少克?
讲述:看来需要引入一个新的物理量把宏观可称量的物质和微观粒子联系起来。提到物理量同学们不会感到陌生。你们学习过的物理量有哪些呢?
回答:质量、长度、温度、电流等,它们的单位分别是千克、米、开、安(培)
投影:国际单位制的7个基本单位

物理量

单位名称

长度

质量

千克

时间

电流

[]

热力学温度

[尔文]

发光强度

[德拉]

物质的量

摩尔

讲述:在定量地研究物质及其变化时,很需要把微粒(微观)跟可称量的物质(宏观)联系起来。怎样建立这个联系呢?科学上用“物质的量”这个物理量来描述。物质的量广泛应用于科学研究、工农业生产等方面,特别是在中学化学里,有关物质的量的计算是化学计算的核心和基础。这同初中化学计算以质量为基础不同,是认知水平提高的表现。在今后的学习中,同学们应注意这一变化。
板书:第一节 物质的量
提问:通过观察和分析表格,你对物质的量的初步认识是什么?
回答:物质的量是一个物理量的名称,摩尔是它的单位。
讲述:“物质的量”是不可拆分的,也不能增减字。初次接触说起来不顺口,通过多次练习就行了。

板书:一、物质的量

  1.意义:表示构成物质的微观粒子多少的物理量。它表示一定数目粒子的集合体。
  2.符号:n
引入:日常生活中用打表示12个。“打”就是一定数目的物品的集合体。宏观是这样,微观也是这样,用固定数目的集合体作为计量单位。科学上,物质的量用12g12C所含的碳原子这个粒子的集合体作为计量单位,它就是“摩尔”
阅读:教材45
讲述1mol任何粒子的粒子数叫做阿伏加德罗常数。是为了纪念伟大的科学家阿伏加德罗。这个常数的符号是NA,通常用它的近似值6.02×1023mol1

板书:二、单位――摩尔

  1.摩尔:物质的量的单位。符号:mol

  2. 阿伏加德罗常数:0.012kg12C所含的碳原子数,符号:NA,近似值6.02×1023mol1

  1mol任何粒子含有阿伏加德罗常数个微粒。

讲解:阿伏加德罗常数和6.02×1023是否可以划等号呢?

不能。已知一个碳原子的质量是1.933×1023g,可以求算出阿伏加德罗常数。

。因此注意近似值是6.02×1023mol1

提问1mol小麦约含有6.02×1023个麦粒。这句话是否正确,为什么?

学生思考:各执己见。

结论:不正确。因为物质的量及其单位摩尔的使用范围是微观粒子。因此在使用中应指明粒子的名称。6.02×1023是非常巨大的一个数值,所以宏观物体不便用物质的量和摩尔。例如,地球上的人口总和是109数量级,如果要用物质的量来描述,将是10-14数量级那样多摩尔,使用起来反而不方便。

板书3.使用范围:微观粒子

投影:课堂练习

1.判断下列说法是否正确,并说明理由。

  (11mol
  (
20.25molCO2
  (
3)摩尔是7个基本物理量之一。
  (
41mol6.02×1023个微粒的粒子集合体。
  (
50.5molH2含有3.01×1023个氢原子。
63molNH3中含有3molN原子,9molH原子。

答案
  (
1)错误。没有指明微粒的种类。改成1molO1molO2,都是正确的。因此使用摩尔作单位时,所指粒子必须十分明确,且粒子的种类用化学式表示。
  (2)正确。
  (
3)错误。物质的量是基本物理量之一。摩尔只是它的单位,不能把二者混为一谈。
  (
4)错误。6.02×1023是阿伏加德罗常数的近似值。二者不能简单等同。
  (
5)错误。0.5molH2含有0.5×21molH原子,6.02×1023×16.02×1023个。
  
6)正确。3molNH3中含有3×13 mol N原子,3×39molH原子。

投影:课堂练习

2.填空

  (11molO中约含有___________O

  (23molH2SO4中约含有__________H2SO4,可电离出_________molH

  (34molO2含有____________molO原子,___________mol质子

  (410molNa+中约含有___________Na

答案:(16.02×1023  23×6.02×10236mol  3 8mol8×864mol(因为1molO原子中含有8mol质子) 410×6.02×1023   52mol

讨论:通过上述练习同学们可以自己总结出物质的量、微粒个数和阿伏加德罗常数三者之间的关系。

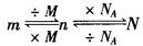
板书4.物质的量(n)微粒个数(N)和阿伏加德罗常数(NA)三者之间的关系。

小结:摩尔是物质的量的单位,1mol任何粒子的粒子数是阿伏加德罗常数,约为6.02×1023。物质的量与粒子个数之间的关系:

作业:教材P48一、二

板书设计

第三章 物质的量

第一节 物质的量

一、物质的量

  1.意义:表示构成物质的微观粒子多少的物理量。它表示一定数目粒子的集合体。

  2.符号:n

二、单位――摩尔

  1.摩尔:物质的量的单位。符号:mol

  2. 阿伏加德罗常数:0.012kg12C所含的碳原子数,符号:NA,近似值6.02×1023mol1

   1mol任何粒子含有阿伏加德罗常数个微粒。

  3.使用范围:微观粒子

  4.物质的量(n)微粒个数(N)和阿伏加德罗常数(NA)三者之间的关系。

  



教学设计方案二

课题 第一节 物质的量

第二课时

知识目标:

  1.使学生了解摩尔质量的概念。了解摩尔质量与相对原子质量、相对分子质量之间的关系。

  2.使学生了解物质的量、摩尔质量、物质的质量之间的关系。掌握有关概念的计算。

  3.  进一步加深理解巩固物质的量和摩尔的概念。

能力目标:

培养学生的逻辑推理、抽象概括的能力。

培养学生的计算能力,并通过计算帮助学生更好地理解概念和运用、巩固概念。

情感目标:

  使学生认识到微观和宏观的相互转化是研究化学的科学方法之一。培养学生尊重科学的思想。

  强调解题规范化,单位使用准确,养成良好的学习习惯。

教学重点:摩尔质量的概念和相关计算

教学难点:摩尔质量与相对原子质量、相对分子质量之间的关系

教学方法:探究式

教学过程

  复习提问]什么是物质的量?什么是摩尔?它们的使用范围是什么?

  回答]物质的量是表示物质所含粒子多少的物理量,摩尔是物质的量的单位。每摩尔物质都含有阿伏加德罗常数个粒子,阿伏加德罗常数的近似值为 。物质的量和摩尔都只适用于微观粒子,不能用于宏观物体。在使用物质的量时应该用化学式指明粒子的种类。

  [引言]既然物质的量是联系微观粒子和宏观物质的桥梁,那么如何通过物质的量求出物质的质量呢?也就是说1mol物质的质量到底有多大呢?我们先填写下面的表格,看是否可以从这些数据中得出有用的结论。

粒子符号

物质的

式量

每个粒子的质量

g/个)

1摩尔物质含有的

粒子数(个)

1摩尔物质质量

g

 

   

 

   

 

   

 

   

 

   

 

   

  [答案C的相对原子质量为121mol碳原子含有 个碳原子,1mol碳原子的质量为 。同理Fe的相对原子质量是561mol铁原子含 个铁原子,是56g 的相对分子质量是981mol硫酸含 个硫酸分子,是98g 的相对分子质量是181mol水含 个水分子,质量是18g。电子质量过于微小,因此失去或得到电子的质量可忽略不计,所以 的式量是231mol钠离子含有 个钠离子,是23g 的式量为171mol氢氧根离子含 个氢氧根离子,是17g

  [学生思考]由以上计算结果可得出什么规律?

  [结论]①1mol任何原子的质量在数值上等于这种原子的相对原子质量。

            1mol任何分子的质量在数值上等于这种分子的相对分子质量。

            1mol任何离子的质量在数值上等于这种离子的式量。

  (此处还可以用其他方法引入得出结论。例如:通过推导得出

  [讲解]因为任何一种原子的相对原子质量,是以12C1/12为标准所得的比值。所以,1 mol任何原子的质量比,就等于它们的相对原子质量比。由此我们可求出x值和y值。

  计算得出x=16g  y=32g

  [得出结论]1 mol任何原子的质量,若以克为单位,在数值上等于其相对原子质量。那么由原子构成的分子,1mol分子的质量应该在数值上等于其相对分子质量。而对于离子,由于电子的质量很小,可以忽略不计。因此1mol任何离子的质量在数值上等于这种离子的式量。)

    板书]二、摩尔质量

  11mol物质质量

   1mol任何粒子或物质的质量是以克为单位,在数值上都与该粒子相对原子质量或相对分子质量相等。

  [讨论]为什么1mol任何物质质量在数值上等于该物质的式量?

  [分析]相对原子质量是以 质量的1/12为标准,其他原子的质量跟它相比较所得的比值。如氧的相对原子质量是16。一个碳原子的质量跟一个氧原子的质量之比是1216,因1mol碳原子与1mol氧原子含有的原子数相等,都约为 ,所以1摩尔碳原子质量跟1摩尔氧原子质量之比也应该是12161mol碳原子质量是12g,那么1mol氧原子质量就是16g,同理1mol任何原子的质量就是以克为单位,数值上等于该种原子的相对原子质量。对于由分子构成的物质,由于分子是由原子构成的,相对分子质量是各种元素的相对原子质量之和,因此1mol任何分子的质量就是以克为单位,数值上等于该分子的相对分子质量。离子是通过原子失去或得到电子形成的,电子质量微小,可忽略不计,所以1mol任何离子的质量在数值上等于该离子的式量。根据以上分析得出1mol任何物质的质量,以克为单位,数值上等于该物质的式量。

投影]课堂练习

1.填写下列空白

  (1 原子质量是       

  (2 分子质量是       

  (3 分子质量是       

  (4 离子质量是       

  (5 离子质量是       

  (6 质量是       

  [回答] 原子是64g 分子是32g 分子是44g 离子为35.5g 离子是23g 质量为58.5g

  [设问]能否说一说什么是摩尔质量?它的单位是什么?数值怎样确定?

  [讲述]我们将单位物质的量的物质所具有的质量叫做摩尔质量。也就是说物质的摩尔质量是该物质的质量与该物质的量之比。摩尔质量的符号是M,常用的单位为g/molkg/mol

  [板书2.摩尔质量

  (1)定义:单位物质的量的物质所具有的质量叫做摩尔质量。符号M

  (2)单位:g/molkg/mol

  (3)数值:等于物质或粒子的式量。

  [投影]课堂练习

  2.回答下列问题

  (1 的摩尔质量是多少?

  (2 的摩尔质量是多少?

  回答:(1

        2

  [投影]课堂练习

  3.下列物质各多少克?含粒子数多少个?

  (1      2

  回答:(1 质量是1800g,含有 分子。

  (2 质量是1.7g,含

  4.下列物质的物质的量是多少?含有多少个粒子?

  (190g     256g氮气

  [回答](190g水物质的量为5mol,含 分子

  (256g氮气物质的量为2mol,含 分子

   设问]通过以上练习,能不能总结出物质的质量、物质的量、摩尔质量三者间的关系?

  [回答]物质的摩尔质量是该物质的质量与该物质的量之比。

     

  [讲述]根据物质的质量和摩尔质量可求出物质的量,反之根据物质的量和摩尔质量也可求出物质的质量。

  [板书]三、关于物质的量的计算

  (-)依据

  [板书]1.准确掌握物质的量、摩尔、摩尔质量等概念。

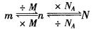
              2.掌握好有关物质的质量(m)、物质的量(n)和粒子数(N)之间的关系。

  (二)类型

  1.物质的质量、物质的量和粒子数之间的相互换算。

  投影]例 的物质的量是多少?

  分析]我们可以通过 的相对分子质量,得知 的摩尔质量。然后利用关系式 计算出 的物质的量。

  解: 的相对分子质量为98,摩尔质量为

    

  答: 的物质的量为0.25mol

  投影]例 中含有 的物质的量各是多少?

  [分析 的电离方程式为:

  

  从 的电离方程式中我们可以看出, 可以电离出

  我们可以利用 的关系,首先计算出 的物质的量,然后再计算出 的物质的量。

  解: 的相对分子质量为142,摩尔质量为

  

    的物质的量为1mol 的物质的量为0.5mol

    答: 中含有 的物质的量为1mol 的物质的量为0.5mol

    讲述]通过以上例题,明确了解这类型题的步骤和方法。在今后的计算中应该注意解题规范,养成良好的学习习惯。

    投影]练习1 中,氧元素的质量是多少克?

    [分析]氧元素是所有氧原子的总称。由已知条件可先求出 的物质的量,再根据如下关系: 求出氧原子的物质的量,进而求出氧元素的质量。

    参考答案: 中,氧元素的质量是12.8g

    投影]练习2.含有 个分子的物质,其质量为0.7g,求该物质的相对分子质量。

    [分析]根据所给粒子数和阿伏加德罗常数,首先求出物质的量,再根据已有的质量和物质的量求摩尔质量,因为物质的摩尔质量在数值上等于该物质的相对分子质量,所以通过求算出摩尔质量即可知道该物质的相对分子质量。

    参考答案:该物质的相对分子质量是28

    [板书]2.不同物质中,某粒子数相当的计算

    [投影]例3 多少克硫酸所含的分子数与3.65g 10%盐酸所含的分子数相等。

    分析:要满足二者分子数相等,只要满足二者的物质的量相等即可。

    解:设质量为 的硫酸所含分子数与3.65g 10%盐酸所含分子数相等。

   (硫酸) (盐酸)

                       

    答:0.98克硫酸所含的分子数与3.65g 10%盐酸所含分子数相等。

    讲述]解此类型题的思路是:找准不同物质间的物质的量关系,然后列方程求解。

    投影]课堂检测题

    中所含的 原子数与多少克 中所含的 离子个数相等?

(参考答案:

板书设计

二、摩尔质量

     11mol物质的质量

    1mol任何粒子或物质的质量是以克为单位,在数值上都与该粒子相对原子质量或相对分子质量相等。

     2.摩尔质量

     1)定义:单位物质的量的物质所具有的质量叫做摩尔质量,符号M

     2)单位:g/molkg/mol

  (3)数值:等于物质或粒子的式量

  

  符号表示:

三、关于物质的量的计算

  (-)依据

      1.准确掌握物质的量、摩尔、摩尔质量等概念。

      2.掌握好有关物质质量(m)、物质的量(n)和粒子数(N)之间的关系。

  (二)类型

  1.物质的质量,物质的量和粒子数之间的相互换算。

  2.不同物质中,某粒子数相当的计算。



关于本站 | 免责声明 | 业务合作 | 广告联系 | 留言建议 | 联系方式 | 网站导航 | 管理登录
闽ICP备05030710号