http://www.nyq.cn
 当前位置:首页-> 备课参考 -> 初二数学 -> 初二上学期(代数) -> 第八章 因式分解

第三节 分组分解法

作者:未知来源:中央电教馆时间:2006/4/8 18:03:13阅读:nyq
字号:|


教学建议

  1.教材分析:

  (1)知识结构

  分组分解法

  (2)重点、难点分析

  教学重点和难点

  重点:分组分解法的分组原则.

  难点:灵活运用已学过的因式分解的各种方法.

  (1)分组分解法不是一种独立的分解因式的方法。是为提公因式或运用公式分解因式创造条件,即先把多项式各项适当分组,以达到最后能提公因式或运用公式分解因式的目的,又因为分组无固定的形式,只能教给学生分组的原则,所以分组分解法的原则是本节的重点。

  (2)分组分解法不是一种独立的分解因式的方法,分组又无固定的形式,要考虑综合运用前面学习的提公因式法或运用公式法两种方法,所以是教学中的难点。

  1)理解分组分解法在解决因式分解问题中的意义。

  很多多项式都不能直接运用提公因式法或直接运用公式法分解,但是,进行分组后,就可以先在局部上,进而在整体上运用这两种方法进行分解,使问题迎刃而解。所以,“分组”步骤的作用,在于促进了提公因式法和公式法的应用,使多项式从不能分解的形态向能分解的状态转化.

  如,多项式 是一个4项式,它的各项没有公因式,而且也没有供4项式作分解的公式可用,所以是用基本方法无法直接分解的多项式.但是,如果运用分组分解法,就可以通过添括号的步骤进行分组,得

原式

  可以看到,在两个局部上,都是可以用提公因式法分解的.分别分解,得

原式

  应当注意到,完成了这一步,因式分解并没有完成(想一想,为什么?),但它的意义在于又出现了公因式 ,再从整体上运用提公因式法,可以得

原式

  从而完成了整体上作分解的目的.

  所以,在这里,分组分解法的意义在于促进了提公因式法的应用.

  又如 也是一个不能直接运用基本方法解的多项式,但是,仔细观察式子的特点,作了下面的分组,就打开了分解的大门:

原式

  这种分组方法使得括号内可以运用公式,得

原式

  于是,使得整体上形成了再利用公式的态势,从而完成了分解:

  原式

  

  2)能正确分解,要有一定的探索能力.

  虽然,分组是解决某些多项式分解的钥匙,但并不是每一次分组都能使问题迎刃而解。如前例中,对 如果作下面的分组

原式

  那么虽然在局部上都可以分别作分解,得

原式

  但分解在整体上却难以进行下去,因而这种分组实际上没有意义的.

  所以,在寻求分解的方案时,有可能成功,也可能失败,因而有一定的探索性,试探性,只有具有探索精神的人,肯于多次试验的人,才能筛选出可行的方案.

  所以只有注意培养自己的探索精神,提高自己的探索能力,才能学好分组分解法.

  3)要注意正确使用添括号法则.

  可以看到,分组的过程,就是添括号的过程,所以正确地使用添括号法则,才能正确地选择分组方案,再能正确实现分解.

  例如,在分解多项式 时,作下面的分组,得

  原式

  

  

  

  问题的顺利解决,不仅在于分组的方案正确,而且在于正确地运用了添括号法则:

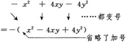
  “添加带有正号的括号时,各项都不变号,”如

  “添加带有负号的括号时,括号内的各项都变号”,如:

  应当注意,在处理多项式的过程,有时还要处理去括号的问题,如上例中有

  

      保留括号

      去括号

  这也是要十分注意的.

返回页首  

关于本站 | 免责声明 | 业务合作 | 广告联系 | 留言建议 | 联系方式 | 网站导航 | 管理登录
闽ICP备05030710号