http://www.nyq.cn
 当前位置:首页-> 备课参考 -> 初二数学 -> 初二上学期(代数) -> 第八章 因式分解

第二节 运用公式法

作者:未知来源:中央电教馆时间:2006/4/8 18:03:13阅读:nyq
字号:|


教学建议

教学重点和难点:

重点:平方差公式或完全平方公式。

难点:灵活运用平方差公式或完全平方公式分解因式。

教学建议:

1.     教材分析

(1)  知识结构:本小节首先说明什么叫做运用公式法,然后,依次介绍了平方差公式或完全平方公式,并结合公式讲授如何运用公式进行多项式的因式分解.

(2)  重点、难点分析

1)     弄清平方差公式的形式和特点,熟练地掌握公式。

平方差公式:

= .

这里 可以表示数、单项式、多项式.

     左侧为两项;

     两项都是平方项;

     两项的符号相反.

2)       弄清完全平方公式的形式和特点,熟练地掌握公式.

完全平方公式:

这里 可以表示数、单项式、多项式.

公式的特点是:

     左侧为三项:

     首、末两项是平方项,并且首末两项的符号相同;

     中间项是首末两项的底数的积的2倍。

3) 继续学会运用“把一个代数式看作一个字母”的换元思想,观察式子,提高处理式子变形的能力.

      运用公式分解因式的关键,是要通过“把一个代数式看作一个字母”的换元思想,把多项式向公式的形式化归,当多项式的结构特征符合公式的特征时,按照公式的另一边的结构,就可以直接写出分解的方法:

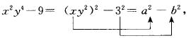
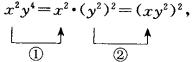
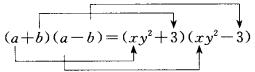
例如,分解二项式 时,关键的步骤是把 看作 ,把9看作 ,再把 看作a,把3看作b,于是就完成了式子 向公式左边 的化归:

也就得到分解的方法:

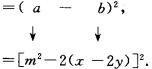
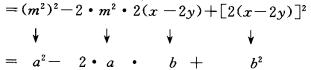
  又如,分解 时,关键的步骤是把 看作 ,把 看作 ,从而中间“项”就可以看作 ;再把 看作a,把 看作b,于是就完成了式子 向公式左边 的化归:

于是就可以依公式直接写出分解的结果

也就是有

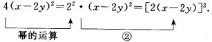
 4) 掌握好运用公式团式分解,首先要学会幂的运算性质的逆方向的应用.

由于乘法公式中多处出现 (或 )和 (或 ),所以被分解的多项式中,必须有可以化归为一个式子的平方成立方的项.这时,就要逆用幂的运算性质(mn是自然数):

                 

                     

例如,前例中,把 看作 的过程,依据的是:

看作 的过程,依据的是

    只有弄清这些变形的细节,了解每步变形的依据,才是真正理解了分解变形的逻辑,掌握了分解的方法.

5) 怎样处理分数系数的多项式的因式分解?

    一般地说,多项式的因式分解是在系数是整数的多项式中进行的,但有时,对系数中含有分数(或小数)的多项式也可以进行这样的变形.这时,将有多种处理方法,分解结果也可能有不同的形式.

    例如,把下列多项式分解因式:

   1           2

解:(1)提出分数 ,使括号内的多项式是整数系数,再作分解,有

   2)解法一:由于 ,提出分数 ,使括号内的多项式是整数系数的多项式,再作分解,有

解法二:直接运用公式得

可以看到,当多项式含有分数系数时,可以把一个适当分数提到括号外,使括号内是整数系数的多项式,然后作分解;如果可能,也可以直接作分解的变形,在第(1)小题中,事实上,有

这两种解法的结果是相同的.

    由分析可知,当把分数 提到括号里面时,只需把原多项式各项的系数分别乘以 (即 的倒数),就是括号内多项式相应各项的系数.

    一般地,为了使系数是分数的多项式的分解有唯一的结果,我们不妨规定,首先提一个适当的分数于括号外,使得括号内化为整系数的多项式,再作进一步的分解.

例如,把多项式 分解因式:

解:

 

 

 

关于本站 | 免责声明 | 业务合作 | 广告联系 | 留言建议 | 联系方式 | 网站导航 | 管理登录
闽ICP备05030710号