http://www.nyq.cn
 当前位置:首页-> 备课参考 -> 初一数学 -> 初一下学期(代数) -> 第七章 整式的乘除

第六节 平方差公式

作者:未知来源:中央电教馆时间:2006/4/8 18:03:13阅读:nyq
字号:|


教学建议

  一、知识结构

  二、重点、难点分析

  本节教学的重点是掌握公式的结构特征及正确运用公式.难点是公式推导的理解及字母的广泛含义.平方差公式是进一步学习完全平方公式、进行相关代数运算与变形的重要知识基础.

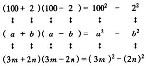
  1.平方差公式是由多项式乘法直接计算得出的:

  

  与一般式多项式的乘法一样,积的项数是多项式项数的积,即四项.合并同类项后仅得两项.

  2.这一公式的结构特征:左边是两个二项式相乘,这两个二项式中有一项完全相同,另一项互为相反数;右边是乘式中两项的平方差,即相同项的平方与相反项的平方差.公式中的字母可以表示具体的数(正数和负数),也可以表示单项式或多项式等代数式.

  只要符合公式的结构特征,就可运用这一公式.例如

  在运用公式的过程中,有时需要变形,例如,变形为,两个数就可以看清楚了.

  3.关于平方差公式的特征,在学习时应注意:

  (1)左边是两个二项式相乘,并且这两上二项式中有一项完全相同,另一项互为相反数.

  (2)右边是乘式中两项的平方差(相同项的平方减去相反项的平方).

  (3)公式中的可以是具体数,也可以是单项式或多项式.

  (4)对于形如两数和与这两数差相乘,就可以运用上述公式来计算.

  三、教法建议

  1.可以将“两个二项式相乘,积可能有几项”的问题作为课题引入,目的是激发学生的学习兴趣,使学生能在两个二项式相乘其积可能为四项、三项、两项中找出积为两项的特征,上升到一定的理论认识,加以实践检验,从而培养学生观察、概括的能力.

  2.通过学生自己的试算、观察、发现、总结、归纳,得出为什么有的两个二项式相乘,其积为两项,因为其中两项是两个数的平方差,而另两项恰是互为相反数,合并同类项时为零,即

  (a+b)(a-b)=a2+ab-ab-b2=a2-b2

  这样得出平方差公式,并且把这类乘法的实质讲清楚了.

  3.通过例题、练习与小结,教会学生如何正确应用平方差公式.这里特别要求学生注意公式的结构,教师可以用对应思想来加强对公式结构的理解和训练,如计算(1+2x)(1-2x),

  (1+2x)(1-2x)=12-(2x)2=1-4x2
   ↓ ↓ ↓ ↓ ↑ ↑

  (a + b)(a - b)=a2- b2

  这样,学生就能正确应用公式进行计算,不容易出差错.

  另外,在计算中不一定用一种模式刻板地应用公式,可以结合以前学过的运算法则,经过变形后灵活应用公式,培养学生解题的灵活性.

返回页首  

关于本站 | 免责声明 | 业务合作 | 广告联系 | 留言建议 | 联系方式 | 网站导航 | 管理登录
闽ICP备05030710号