设为首页
加入收藏
列方程解应用题,一般应有审题、设未知元、列解方程、检验、作结论等几个步骤.下面从几个不同的侧面选讲一部分竞赛题,从中体现解应用题的技能和技巧.
一.合理选择未知元
例1 (1983年青岛市初中数学竞赛题)某人骑自行车从A地先以每小时12千米的速度下坡后,以每小时9千米的速度走平路到B地,共用55分钟.回来时,他以每小时8千米的速度通过平路后,以每小时4千米的速度上坡,从B地到A地共用1.5小时,求A、B两地相距多少千米?


例2 (1972年美国中学数学竞赛题)若一商人进货价便谊8%,而售价保持不变,那么他的利润(按进货价而定)可由目前的x%增加到(x+10)%,x等于多少?
解 本题若用直接元x列方程十分不易,可引入辅助元进货价M,则0.92M是打折扣的价格,x是利润,以百分比表示,那么写出售货价(固定不变)的等式,可得:
M(1+0.01x)=0.92M[1+0.01(x+10)].
约去M,得1+0.01x=0.92[1+01.1(x+10)].
解之,得 x=15.
例3 在三点和四点之间,时钟上的分针和时针在什么时候重合?

例4(1985年江苏东台初中数学竞赛题)从两个重为m千克和n千克,且含铜百分数不同的合金上,切下重量相等的两块,把所切下的每一块和另一种剩余的合金加在一起熔炼后,两者的含铜百分数相等,问切下的重量是多少千克?
解 采用直接元并辅以间接元,设切下的重量为x千克,并设m千克的铜合金中含铜百分数为q1,n千克的铜合金中含铜百分数为q2,则切下的两块中分别含铜xq1千克和xq2千克,混合熔炼后所得的两块合金中分别含铜[xq1+(n-x)q2]千克和[xq2+(m-x)q1]千克,依题意,有:

二.多元方程和多元方程组
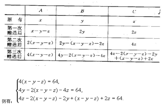
例5 (1986年扬州市初一数学竞赛题)A、B、C三人各有豆若干粒,要求互相赠送,先由A给B、C,所给的豆数等于B、C原来各有的豆数,依同法再由B给A、C现有豆数,后由C给A、B现有豆数,互送后每人恰好各有64粒,问原来三人各有豆多少粒?
解 设A、B、C三人原来各有x、y、z粒豆,可列出下表:

解得:x=104,y=56,z=32.
答:原来A有豆104粒,B有56粒,C有32粒.
例6(1985年宁波市初中数学竞赛题)某工厂有九个车间,每个车间原有一样多的成品,每个车间每天能生产一样多的成品,而每个检验员检验的速度也一样快,A组8个检验员在两天之间将两个车间的所有成品(所有成品指原有的和后来生产的成品)检验完毕后,再去检验另两个车间的所有成品,又用了三天检验完毕,在此五天内,B组的检验员也检验完毕余下的五个车间的所有成品,问B组有几个检验员?
解 设每个车间原有成品x个,每天每个车间能生产y个成品;则一个车间生产两天的所有成品为(x+2y)个,一个车间生产5天的所有成品为(x+5y)个,由于A组的8个检验员每天的检验速度相等,可得

答:B组有12个检验员.
三.关于不等式及不定方程的整数解
例7(1985年武汉市初一数学竞赛题)把若干颗花生分给若干只猴子,如果每只猴子分3颗,就剩下8颗;如果每只猴子分5颗,那么最后一只猴子得不到5颗,求猴子的只数和花生的颗数.
解:设有x只猴子和y颗花生,则:
y-3x=8, ①
5x-y<5, ②
由①得:y=8+3x, ③
③代入②得5x-(8+3x)<5,
∴ x<6.5
因为y与x都是正整数,所以x可能为6,5,4,3,2,1,相应地求出y的值为26,23,20,17,14,11.
经检验知,只有x=5,y=23和x=6,y=26这两组解符合题意.
答:有五只猴子,23颗花生,或者有六只猴子,26颗花生.
例8(1986年上海初中数学竞赛题)在一次射箭比赛中,已知小王与小张三次中靶环数的积都是36,且总环数相等,还已知小王的最高环数比小张的最高环数多(中箭的环数是不超过10的自然数),则小王的三次射箭的环数从小到大排列是多少?
解 设小王和小张三次中靶的环数分别是x、y、z和a、b、c,不妨设x≤y≤z,a≤b≤c,由题意,有:

因为环数为不超过10的自然数,首先有z≠10,否则与①式矛盾.
若设z=9,则由①知:xy=4,
∴x=2,y=2,或x=1,y=4,
∴x+y+z=13或x+y+z=14.
又由②及c<z知,c|36,∴c=6,这时,ab=6.
∴a=2,b=3,或a=1,b=6
∴a+b+c=11或a+b+c=13
又由③知:x+y+z=a+b+c=13
∴取x=2,y=2,z=9.
答:小王的环数分别为2环,2环,9环.
例9(1980年苏联全俄第6届中学生物理数学竞赛题)一队旅客乘坐汽车,要求每辆汽车的乘客人数相等,起初,每辆汽车乘了22人,结果剩下一人未上车;如果有一辆汽车空车开走,那么所有旅客正好能平均分乘到其它各车上,已知每辆汽车最多只能容纳32人,求起初有多少辆汽车?有多少名旅客?
解 设起初有汽车k辆,开走一辆空车后,平均每辆车所乘的旅客为n名,显然,k≥2,n≤32,由题意,知:22k+1=n(k-1),

∴k-1=1,或k-1=23,
即k=2,或k=24.
当k=2时,n=45不合题意,
当k=24时,n=23合题意,
这时旅客人数为n(k-1)=529.
答:起初有24辆汽车,有529名旅客
四.应用题中的推理问题
竞赛中常见的应用题不一定是以求解的面目出现,而是一种逻辑推理型.解答这类题目不仅需要具备较强的分析综合能力,还要善于用准确简练的语言来表述自己正确的逻辑思维.
例10(1986年加拿大数学竞赛题)有一种体育竞赛共含M个项目,有运动员A、B、C参加,在每个项目中,第一、二、三名分别得p1、p2、p3分,其中p1、p2、p3为正整数且p1>p2>p3,最后A得22分,B与C均得9分,B在百米赛中取得第一,求M的值,并问在跳高中谁取得第二名?
分析 考虑三个得的总分,有方程:
M(p1+p2+p3)=22+9+9=40, ①
又 p1+p2+p3≥1+2+3=6, ②
∴6M≤M(p1+p2+p3)=40,从而M≤6.
由题设知至少有百米和跳高两个项目,从而M≥2,
又M|40,所以M可取2、4、5.
考虑M=2,则只有跳高和百米,而B百米第一,但总分仅9分,故必有:9≥p1+p3,∴≤8,这样A不可能得22分.
若M=4,由B可知:9≥p1+3p3,又p3≥1,所以p1≤6,若p1≤5,那么四项最多得20分,A就不可能得22分,故p1=6.
∵4(p1+p2+p3)=40,∴p2+p3=4.
故有:p2=3,p3=1,A最多得三个第一,一个第二,一共得分3×6+3=21<22,矛盾.
若M=5,这时由5(p1+p2+p3)=40,得:
p1+p2+p3=8.若p3≥2,则:
p1+p2+p3≥4+3+2=9,矛盾,故p3=1.
又p1必须大于或等于5,否则,A五次最高只能得20分,与题设矛盾,所以p1≥5.
若p1≥6,则p2+p3≤2,这也与题设矛盾,∴p1=5,p2+p3=3,即p2=2,p3=1.
A=22=4×5+2.
故A得了四个第一,一个第二;
B=9=5+4×1,
故B得了一个第一,四个第三;
C=9=4×2+1,
故C得了四个第二,一个第三.
练习题
1.选择题
(1)打开A、B、C每一个阀门,水就以各自不变的速度注入水槽.当所有三个阀门都打开时,注满水槽需1小时;只打开A、C两个阀门,需要1.5小时;如果只打开B、C
两个阀门,需要2小时,若只打开A、B两个阀门时,注满水槽所需的小时数是( ).
(A)1.1 (B)1.15 (C)1.2 (D)1.25 (E)1.75
(2)两个孩子在圆形跑道上从同一点A出发,按相反方向运动,他们的速度是每秒5英尺和每秒9英尺,如果他们同时出发并当他们在A点第一次再相遇的时候结束,那么
他们从出发到结束之间相遇的次数是( ).
(A)13 (B)25 (C)44 (D)无穷多 (E)这些都不是
(3)某超级市场有128箱苹果,每箱至少120只,至多144只,装苹果只数相同的箱子称为一组,问其中最大一组的箱子的个数n,最小是( )
(A)4 (B)5 (C)6 (D)24 (E)25
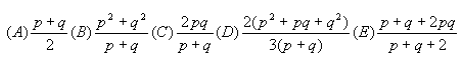
(4)两个相同的瓶子装满酒精溶液,在一个瓶子中酒精与水的容积之比是p:1,而在另一个瓶子中是q:1,若把两瓶溶液混合在一起,混合液中的酒精与水的容积之比是( ).

(5)汽车A和B行驶同样的距离,汽车A以每小时u千米行驶距离的一半并以每小时υ千米行驶另一半,汽车B以每小时u千米行驶所行时间的一半并以每小时υ千米行驶另一半,汽车A的平均速度是每小时x千米,汽车B的平均速度是每小时y千米,那么我们总有( )
(A)x≤y (B)x≥y (C)x=y (D)x<y (E)x>y
2.填空题
(1)已知闹钟每小时慢4分钟,且在3点半时对准,现在正确时间是12点,则过正确时间______分钟,闹钟才指到12点上.
(2)若b个人c天砌f块砖,则c个人用相同的速度砌b块砖需要的天数是____.
(3)某人上下班可乘火车或汽车,若他早晨上班乘火车则下午回家乘汽车;又假若他下午回家乘火车则早晨上班乘汽车,在x天中这个人乘火车9次,早晨乘汽车8次,下午乘汽车15次,则x=_______.
(4)一个年龄在13至19岁之间的孩子把他自己的年龄写在他父亲年龄的后面,从这个新的四位数中减去他们年龄差的绝对值得到4289,他们年龄的和为______.
(5)一个城镇的人口增加了1200人,然后这新的人口又减少了11%,现在镇上的人数比增加1200人以前还少32人,则原有人口为_____人.
3.(1982-1983年福建省初中数学竞赛题)一个四位数是奇数,它的首位数字小于其余各位数字,而第二位数字大于其余各位数字,第三位数字等于首末两位数字之和的二倍,求此四位数.
4.(第2届《祖冲之杯》)甲乙两人合养了几头羊,而每头羊的卖价又恰为n元,两人分钱方法如下:先由甲拿10元,再由乙拿10元,如此轮流,拿到最后,剩下不足十元,轮到乙拿去,为了平均分配,甲应该分给乙多少钱?
5.(1986年湖北省荆州地区初中数学竞赛题)完成同一工作,A独做所需时间为B与C共同工作所需时间的m倍,B独做所需时间为A与C共同工作所需时间的n倍,C独做所需时间为A与B共同工作所需时间的x倍,用m,n表示出x来.
6.(1988年江苏省初中数学竞赛题)今有一个三位数,其各位数字不尽相同,如将此三位数的各位数字重新排列,必可得一个最大数和一个最小数(例如,427,经重新排列得最大数742,最小数247),如果所得最大数与最小数之差就是原来的那个三位数,试求这个三位数.
7.(1978年四川省数学竞赛题)某煤矿某一年产煤总量中,除每年以一定数量的煤作为民用、出口等非工业用途外,其余留作工业用煤,按照该年度某一工业城市的工业用煤总量为标准计算,可供这样的三个工业城市用六年,四个这样的城市用五年(当然每年都要除去非工业用煤的那一个定量),问如果只供一个城市的工业用煤,可以用多少年?
练习题答案
1.A.C.E.A.


7.设该煤矿该年度产煤总量为x,每年非工业用煤量为y,该工业城市该年工业用煤量为z,并设只供这样一个城市工业用煤可用p年,由题意得方程组:

|